Номер 3.19, страница 147 - гдз по алгебре 9 класс учебник Арефьева, Пирютко

Алгебра, 9 класс Учебник, авторы: Арефьева Ирина Глебовна, Пирютко Ольга Николаевна, издательство Народная асвета, Минск, 2019, голубого цвета

Авторы: Арефьева И. Г., Пирютко О. Н.

Тип: Учебник

Издательство: Народная асвета

Год издания: 2019 - 2026

Цвет обложки: голубой, синий с графиком

ISBN: 978-985-03-3077-2

Допущено Министерством образования Республики Беларусь

Популярные ГДЗ в 9 классе

Глава 3. Дробно-рациональные уравнения и неравенства. Параграф 10. Дробно-рациональные уравнения - номер 3.19, страница 147.

№3.19 (с. 147)
Условие. №3.19 (с. 147)
скриншот условия
Алгебра, 9 класс Учебник, авторы: Арефьева Ирина Глебовна, Пирютко Ольга Николаевна, издательство Народная асвета, Минск, 2019, голубого цвета, страница 147, номер 3.19, Условие

3.19. Решите задачу:

a) При патрулировании катер МЧС прошел 56 км против течения реки и 32 км по течению, затратив на весь путь 3 ч. Найдите скорость течения реки, если собственная скорость катера составляет 30 $\frac{\text{км}}{\text{ч}}$.

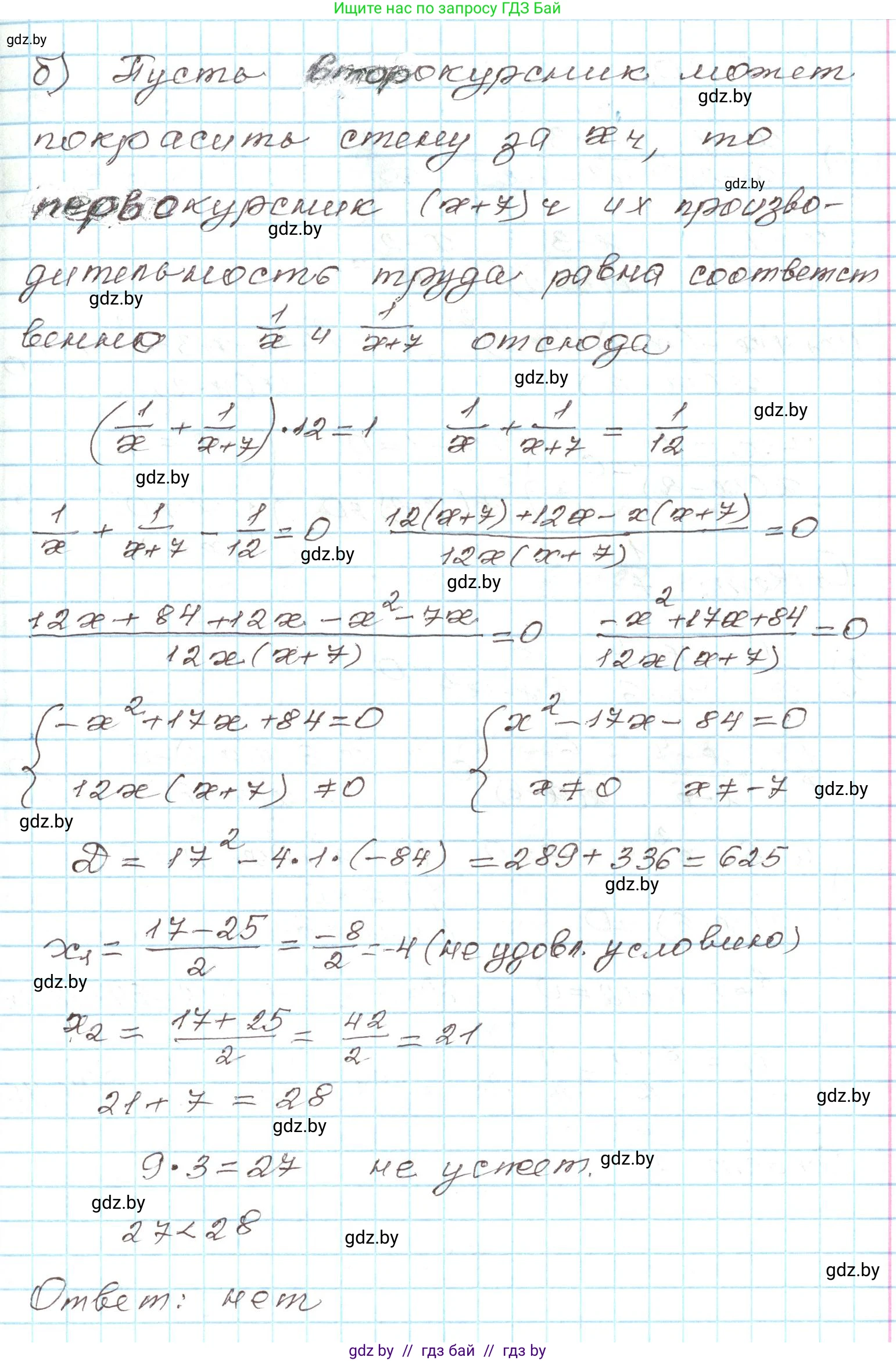
б) Студент первого и студент второго курса летом работали в строительном отряде. Работая вместе, они покрасили стену за 12 ч. Известно, что второкурсник может покрасить такую же стену на 7 ч быстрее, чем первокурсник. Успеет ли первокурсник покрасить такую стену за три дня, если будет работать один и не более 9 ч в день?

Решение. №3.19 (с. 147)
Алгебра, 9 класс Учебник, авторы: Арефьева Ирина Глебовна, Пирютко Ольга Николаевна, издательство Народная асвета, Минск, 2019, голубого цвета, страница 147, номер 3.19, Решение Алгебра, 9 класс Учебник, авторы: Арефьева Ирина Глебовна, Пирютко Ольга Николаевна, издательство Народная асвета, Минск, 2019, голубого цвета, страница 147, номер 3.19, Решение (продолжение 2)
Решение 2. №3.19 (с. 147)

а) Пусть скорость течения реки равна $x$ км/ч. Тогда скорость катера против течения реки составляет $(30 - x)$ км/ч, а скорость катера по течению реки — $(30 + x)$ км/ч.
Время, которое катер затратил на путь против течения, составляет $\frac{56}{30 - x}$ часов.
Время, которое катер затратил на путь по течению, составляет $\frac{32}{30 + x}$ часов.
Общее время в пути равно 3 часа. Составим уравнение, исходя из условия задачи: $$ \frac{56}{30 - x} + \frac{32}{30 + x} = 3 $$ Приведем левую часть уравнения к общему знаменателю: $$ \frac{56(30 + x) + 32(30 - x)}{(30 - x)(30 + x)} = 3 $$ $$ 56(30 + x) + 32(30 - x) = 3(30 - x)(30 + x) $$ $$ 1680 + 56x + 960 - 32x = 3(900 - x^2) $$ $$ 2640 + 24x = 2700 - 3x^2 $$ Перенесем все члены уравнения в одну сторону: $$ 3x^2 + 24x + 2640 - 2700 = 0 $$ $$ 3x^2 + 24x - 60 = 0 $$ Разделим все уравнение на 3 для упрощения: $$ x^2 + 8x - 20 = 0 $$ Решим полученное квадратное уравнение через дискриминант: $$ D = b^2 - 4ac = 8^2 - 4 \cdot 1 \cdot (-20) = 64 + 80 = 144 $$ $$ \sqrt{D} = 12 $$ Найдем корни уравнения: $$ x_1 = \frac{-8 - 12}{2} = \frac{-20}{2} = -10 $$ $$ x_2 = \frac{-8 + 12}{2} = \frac{4}{2} = 2 $$ Поскольку скорость течения не может быть отрицательной, корень $x_1 = -10$ не является решением задачи. Следовательно, скорость течения реки равна 2 км/ч.
Ответ: 2 км/ч.

б) Примем всю работу по покраске стены за 1. Пусть первокурсник может покрасить стену в одиночку за $t$ часов. Тогда его производительность (часть стены в час) равна $\frac{1}{t}$. По условию, второкурсник может покрасить ту же стену на 7 часов быстрее, то есть за $(t - 7)$ часов. Его производительность равна $\frac{1}{t - 7}$. Работая вместе, они покрасили стену за 12 часов. Их совместная производительность равна сумме их индивидуальных производительностей, что составляет $\frac{1}{12}$ часть стены в час. Составим уравнение: $$ \frac{1}{t} + \frac{1}{t - 7} = \frac{1}{12} $$ Приведем левую часть к общему знаменателю: $$ \frac{t - 7 + t}{t(t - 7)} = \frac{1}{12} $$ $$ \frac{2t - 7}{t^2 - 7t} = \frac{1}{12} $$ Используем свойство пропорции: $$ 12(2t - 7) = 1(t^2 - 7t) $$ $$ 24t - 84 = t^2 - 7t $$ $$ t^2 - 7t - 24t + 84 = 0 $$ $$ t^2 - 31t + 84 = 0 $$ Решим квадратное уравнение: $$ D = (-31)^2 - 4 \cdot 1 \cdot 84 = 961 - 336 = 625 $$ $$ \sqrt{D} = 25 $$ Найдем корни: $$ t_1 = \frac{31 - 25}{2} = \frac{6}{2} = 3 $$ $$ t_2 = \frac{31 + 25}{2} = \frac{56}{2} = 28 $$ Корень $t_1 = 3$ не подходит по смыслу задачи, так как в этом случае время работы второкурсника было бы $3 - 7 = -4$ часа, что невозможно. Следовательно, время, за которое первокурсник может покрасить стену один, составляет 28 часов. Теперь определим, успеет ли он это сделать. Он будет работать 3 дня не более 9 часов в день. Максимальное время, которое он может работать: $$ 3 \text{ дня} \times 9 \frac{\text{ч}}{\text{день}} = 27 \text{ часов} $$ Сравним необходимое время (28 часов) с доступным временем (27 часов): $$ 28 \text{ ч} > 27 \text{ ч} $$ Первокурснику не хватит времени, чтобы покрасить стену в одиночку.
Ответ: Нет.

Помогло решение? Оставьте отзыв в комментариях ниже.

Присоединяйтесь к Телеграм-группе @gdz_by_belarus

Присоединиться

Мы подготовили для вас ответ c подробным объяснением домашего задания по алгебре за 9 класс, для упражнения номер 3.19 расположенного на странице 147 к учебнику 2019 года издания для учащихся школ и гимназий.

Теперь на нашем сайте ГДЗ.ТОП вы всегда легко и бесплатно найдёте условие с правильным ответом на вопрос «Как решить ДЗ» и «Как сделать» задание по алгебре к упражнению №3.19 (с. 147), авторов: Арефьева (Ирина Глебовна), Пирютко (Ольга Николаевна), учебного пособия издательства Народная асвета.