Номер 3.23, страница 148 - гдз по алгебре 9 класс учебник Арефьева, Пирютко

Алгебра, 9 класс Учебник, авторы: Арефьева Ирина Глебовна, Пирютко Ольга Николаевна, издательство Народная асвета, Минск, 2019, голубого цвета

Авторы: Арефьева И. Г., Пирютко О. Н.

Тип: Учебник

Издательство: Народная асвета

Год издания: 2019 - 2026

Цвет обложки: голубой, синий с графиком

ISBN: 978-985-03-3077-2

Допущено Министерством образования Республики Беларусь

Популярные ГДЗ в 9 классе

Глава 3. Дробно-рациональные уравнения и неравенства. Параграф 10. Дробно-рациональные уравнения - номер 3.23, страница 148.

№3.23 (с. 148)
Условие. №3.23 (с. 148)
скриншот условия
Алгебра, 9 класс Учебник, авторы: Арефьева Ирина Глебовна, Пирютко Ольга Николаевна, издательство Народная асвета, Минск, 2019, голубого цвета, страница 148, номер 3.23, Условие Алгебра, 9 класс Учебник, авторы: Арефьева Ирина Глебовна, Пирютко Ольга Николаевна, издательство Народная асвета, Минск, 2019, голубого цвета, страница 148, номер 3.23, Условие (продолжение 2)

3.23. Найдите корни уравнения:

а) $\frac{2}{x-3} + 1 = \frac{15}{x^2 - 6x + 9}$;

б) $\frac{5}{x^2 + 2x + 1} - \frac{2}{1 - x^2} = \frac{1}{x - 1}$;

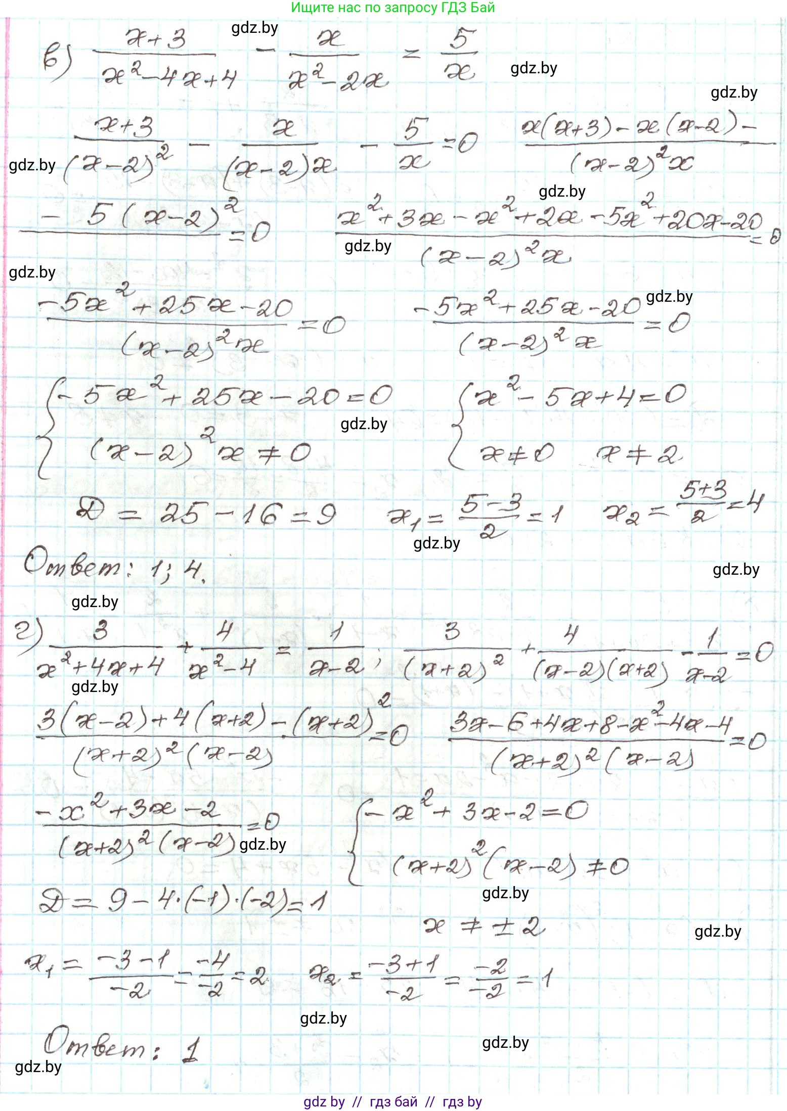
в) $\frac{x+3}{x^2 - 4x + 4} - \frac{x}{x^2 - 2x} = \frac{5}{x}$;

г) $\frac{3}{x^2 + 4x + 4} + \frac{4}{x^2 - 4} = \frac{1}{x - 2}$;

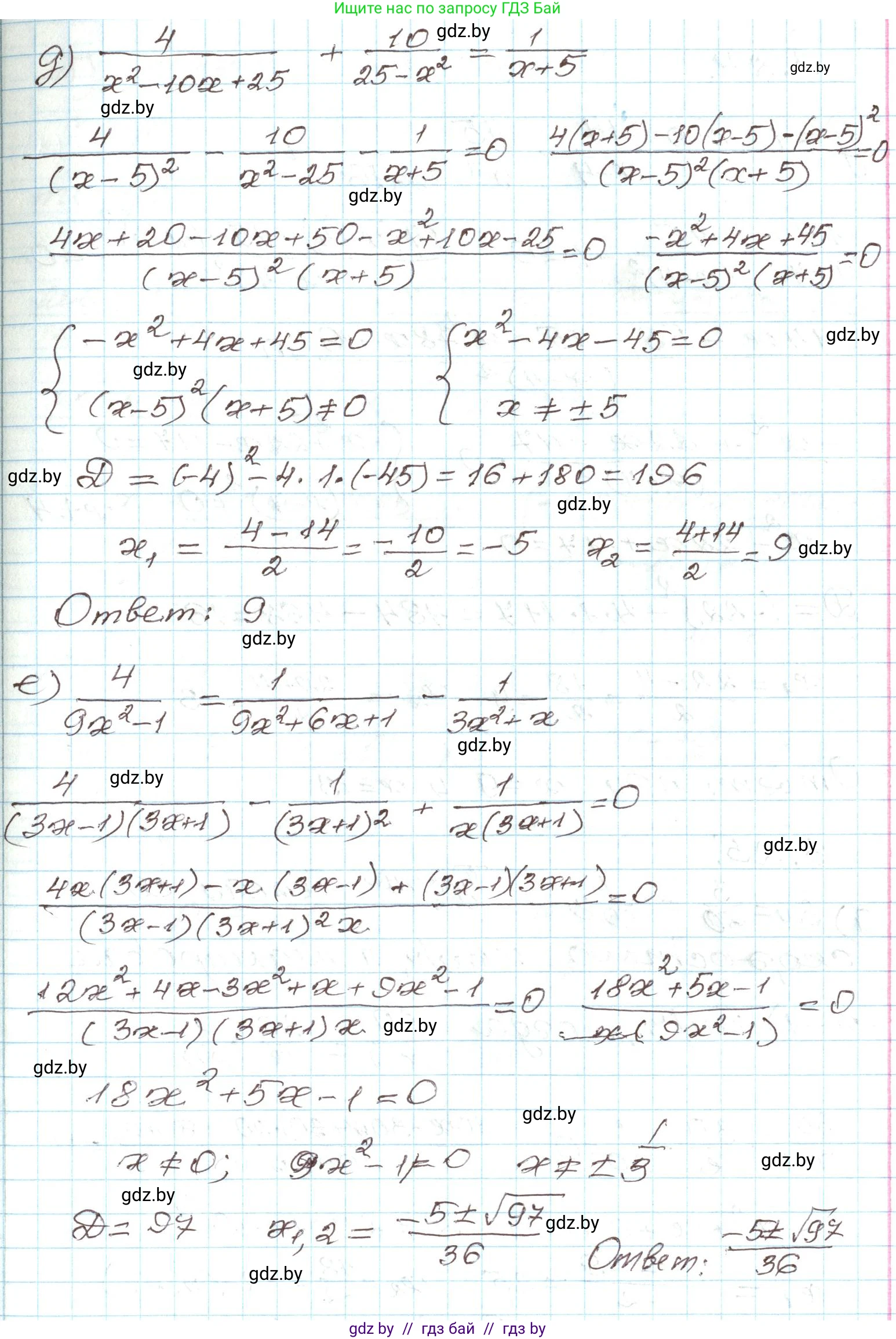
д) $\frac{4}{x^2 - 10x + 25} + \frac{10}{25 - x^2} = \frac{1}{x + 5}$;

е) $\frac{4}{9x^2 - 1} = \frac{1}{9x^2 + 6x + 1} - \frac{1}{3x^2 + x}$.

Какие преобразования вы выполняли во всех уравнениях?

Решение. №3.23 (с. 148)
Алгебра, 9 класс Учебник, авторы: Арефьева Ирина Глебовна, Пирютко Ольга Николаевна, издательство Народная асвета, Минск, 2019, голубого цвета, страница 148, номер 3.23, Решение Алгебра, 9 класс Учебник, авторы: Арефьева Ирина Глебовна, Пирютко Ольга Николаевна, издательство Народная асвета, Минск, 2019, голубого цвета, страница 148, номер 3.23, Решение (продолжение 2)
Решение 2. №3.23 (с. 148)

а) Дано уравнение: $\frac{2}{x-3} + 1 = \frac{15}{x^2 - 6x + 9}$.
Разложим знаменатель в правой части по формуле квадрата разности: $x^2 - 6x + 9 = (x-3)^2$.
Уравнение принимает вид: $\frac{2}{x-3} + 1 = \frac{15}{(x-3)^2}$.
Область допустимых значений (ОДЗ): знаменатель не должен быть равен нулю, следовательно, $x-3 \neq 0 \implies x \neq 3$.
Умножим обе части уравнения на общий знаменатель $(x-3)^2$:
$2(x-3) + 1 \cdot (x-3)^2 = 15$
$2x - 6 + x^2 - 6x + 9 = 15$
Приведем подобные слагаемые:
$x^2 - 4x + 3 = 15$
$x^2 - 4x - 12 = 0$
Решим полученное квадратное уравнение. По теореме Виета, сумма корней равна 4, а их произведение равно -12. Корнями являются $x_1 = 6$ и $x_2 = -2$.
Оба корня удовлетворяют ОДЗ ($x \neq 3$).
Ответ: -2; 6.

б) Дано уравнение: $\frac{5}{x^2 + 2x + 1} - \frac{2}{1-x^2} = \frac{1}{x-1}$.
Разложим знаменатели на множители: $x^2 + 2x + 1 = (x+1)^2$ и $1 - x^2 = (1-x)(1+x) = -(x-1)(x+1)$.
Уравнение принимает вид: $\frac{5}{(x+1)^2} - \frac{2}{-(x-1)(x+1)} = \frac{1}{x-1}$, что эквивалентно $\frac{5}{(x+1)^2} + \frac{2}{(x-1)(x+1)} = \frac{1}{x-1}$.
ОДЗ: $x+1 \neq 0 \implies x \neq -1$ и $x-1 \neq 0 \implies x \neq 1$.
Умножим обе части уравнения на общий знаменатель $(x-1)(x+1)^2$:
$5(x-1) + 2(x+1) = (x+1)^2$
$5x - 5 + 2x + 2 = x^2 + 2x + 1$
$7x - 3 = x^2 + 2x + 1$
$x^2 - 5x + 4 = 0$
По теореме Виета, сумма корней равна 5, а их произведение равно 4. Корнями являются $x_1 = 4$ и $x_2 = 1$.
Проверим корни по ОДЗ: $x_1 = 4$ удовлетворяет условиям. $x_2 = 1$ не удовлетворяет ОДЗ ($x \neq 1$), поэтому является посторонним корнем.
Ответ: 4.

в) Дано уравнение: $\frac{x+3}{x^2 - 4x + 4} - \frac{x}{x^2 - 2x} = \frac{5}{x}$.
Разложим знаменатели на множители: $x^2 - 4x + 4 = (x-2)^2$ и $x^2 - 2x = x(x-2)$.
Уравнение принимает вид: $\frac{x+3}{(x-2)^2} - \frac{x}{x(x-2)} = \frac{5}{x}$.
ОДЗ: $x \neq 0$ и $x-2 \neq 0 \implies x \neq 2$.
Умножим обе части уравнения на общий знаменатель $x(x-2)^2$:
$x(x+3) - 1 \cdot x(x-2) = 5(x-2)^2$
$x^2 + 3x - (x^2 - 2x) = 5(x^2 - 4x + 4)$
$x^2 + 3x - x^2 + 2x = 5x^2 - 20x + 20$
$5x = 5x^2 - 20x + 20$
$5x^2 - 25x + 20 = 0$
Разделим уравнение на 5: $x^2 - 5x + 4 = 0$.
Корни этого уравнения: $x_1 = 4$ и $x_2 = 1$.
Оба корня удовлетворяют ОДЗ ($x \neq 0, x \neq 2$).
Ответ: 1; 4.

г) Дано уравнение: $\frac{3}{x^2 + 4x + 4} + \frac{4}{x^2 - 4} = \frac{1}{x-2}$.
Разложим знаменатели на множители: $x^2 + 4x + 4 = (x+2)^2$ и $x^2 - 4 = (x-2)(x+2)$.
Уравнение принимает вид: $\frac{3}{(x+2)^2} + \frac{4}{(x-2)(x+2)} = \frac{1}{x-2}$.
ОДЗ: $x+2 \neq 0 \implies x \neq -2$ и $x-2 \neq 0 \implies x \neq 2$.
Умножим обе части уравнения на общий знаменатель $(x-2)(x+2)^2$:
$3(x-2) + 4(x+2) = (x+2)^2$
$3x - 6 + 4x + 8 = x^2 + 4x + 4$
$7x + 2 = x^2 + 4x + 4$
$x^2 - 3x + 2 = 0$
По теореме Виета, сумма корней равна 3, а их произведение равно 2. Корнями являются $x_1 = 1$ и $x_2 = 2$.
Проверим корни по ОДЗ: $x_1 = 1$ удовлетворяет условиям. $x_2 = 2$ не удовлетворяет ОДЗ ($x \neq 2$), поэтому является посторонним корнем.
Ответ: 1.

д) Дано уравнение: $\frac{4}{x^2 - 10x + 25} + \frac{10}{25 - x^2} = \frac{1}{x+5}$.
Разложим знаменатели на множители: $x^2 - 10x + 25 = (x-5)^2$ и $25 - x^2 = -(x^2-25) = -(x-5)(x+5)$.
Уравнение принимает вид: $\frac{4}{(x-5)^2} - \frac{10}{(x-5)(x+5)} = \frac{1}{x+5}$.
ОДЗ: $x-5 \neq 0 \implies x \neq 5$ и $x+5 \neq 0 \implies x \neq -5$.
Умножим обе части уравнения на общий знаменатель $(x-5)^2(x+5)$:
$4(x+5) - 10(x-5) = (x-5)^2$
$4x + 20 - 10x + 50 = x^2 - 10x + 25$
$-6x + 70 = x^2 - 10x + 25$
$x^2 - 4x - 45 = 0$
По теореме Виета, сумма корней равна 4, а их произведение равно -45. Корнями являются $x_1 = 9$ и $x_2 = -5$.
Проверим корни по ОДЗ: $x_1 = 9$ удовлетворяет условиям. $x_2 = -5$ не удовлетворяет ОДЗ ($x \neq -5$), поэтому является посторонним корнем.
Ответ: 9.

е) Дано уравнение: $\frac{4}{9x^2 - 1} = \frac{1}{9x^2 + 6x + 1} - \frac{1}{3x^2 + x}$.
Разложим знаменатели на множители: $9x^2 - 1 = (3x-1)(3x+1)$, $9x^2 + 6x + 1 = (3x+1)^2$, $3x^2 + x = x(3x+1)$.
Уравнение принимает вид: $\frac{4}{(3x-1)(3x+1)} = \frac{1}{(3x+1)^2} - \frac{1}{x(3x+1)}$.
ОДЗ: $x \neq 0$, $3x-1 \neq 0 \implies x \neq 1/3$, $3x+1 \neq 0 \implies x \neq -1/3$.
Умножим обе части уравнения на общий знаменатель $x(3x-1)(3x+1)^2$:
$4x(3x+1) = 1 \cdot x(3x-1) - 1 \cdot (3x-1)(3x+1)$
$12x^2 + 4x = 3x^2 - x - (9x^2 - 1)$
$12x^2 + 4x = 3x^2 - x - 9x^2 + 1$
$12x^2 + 4x = -6x^2 - x + 1$
$18x^2 + 5x - 1 = 0$
Решим квадратное уравнение через дискриминант: $D = b^2 - 4ac$.
$D = 5^2 - 4 \cdot 18 \cdot (-1) = 25 + 72 = 97$.
Корни: $x = \frac{-b \pm \sqrt{D}}{2a} = \frac{-5 \pm \sqrt{97}}{36}$.
$x_1 = \frac{-5 - \sqrt{97}}{36}$, $x_2 = \frac{-5 + \sqrt{97}}{36}$.
Оба корня не совпадают ни с одним из ограничений ОДЗ, следовательно, оба являются решениями.
Ответ: $\frac{-5 - \sqrt{97}}{36}$; $\frac{-5 + \sqrt{97}}{36}$.

Какие преобразования вы выполняли во всех уравнениях?
Ответ:
Во всех уравнениях для нахождения корней использовался единый алгоритм решения дробно-рациональных уравнений, который включает следующие преобразования:

  1. Нахождение Области допустимых значений (ОДЗ): определение значений переменной, при которых знаменатели всех дробей в уравнении не равны нулю.
  2. Разложение знаменателей на множители: использование формул сокращенного умножения для представления знаменателей в виде произведения.
  3. Избавление от дробных выражений: умножение обеих частей уравнения на наименьший общий знаменатель всех дробей, что приводит к целому алгебраическому уравнению (в данных случаях — линейному или квадратному).
  4. Решение полученного целого уравнения: нахождение корней стандартными методами.
  5. Проверка корней: сопоставление найденных корней с ОДЗ и исключение посторонних корней, которые не входят в область допустимых значений.

Помогло решение? Оставьте отзыв в комментариях ниже.

Присоединяйтесь к Телеграм-группе @gdz_by_belarus

Присоединиться

Мы подготовили для вас ответ c подробным объяснением домашего задания по алгебре за 9 класс, для упражнения номер 3.23 расположенного на странице 148 к учебнику 2019 года издания для учащихся школ и гимназий.

Теперь на нашем сайте ГДЗ.ТОП вы всегда легко и бесплатно найдёте условие с правильным ответом на вопрос «Как решить ДЗ» и «Как сделать» задание по алгебре к упражнению №3.23 (с. 148), авторов: Арефьева (Ирина Глебовна), Пирютко (Ольга Николаевна), учебного пособия издательства Народная асвета.