Номер 3.28, страница 150 - гдз по алгебре 9 класс учебник Арефьева, Пирютко

Алгебра, 9 класс Учебник, авторы: Арефьева Ирина Глебовна, Пирютко Ольга Николаевна, издательство Народная асвета, Минск, 2019, голубого цвета

Авторы: Арефьева И. Г., Пирютко О. Н.

Тип: Учебник

Издательство: Народная асвета

Год издания: 2019 - 2026

Цвет обложки: голубой, синий с графиком

ISBN: 978-985-03-3077-2

Допущено Министерством образования Республики Беларусь

Популярные ГДЗ в 9 классе

Глава 3. Дробно-рациональные уравнения и неравенства. Параграф 10. Дробно-рациональные уравнения - номер 3.28, страница 150.

№3.28 (с. 150)
Условие. №3.28 (с. 150)
скриншот условия
Алгебра, 9 класс Учебник, авторы: Арефьева Ирина Глебовна, Пирютко Ольга Николаевна, издательство Народная асвета, Минск, 2019, голубого цвета, страница 150, номер 3.28, Условие

3.28. Найдите, при каких значениях переменной:

а) сумма дробей $\frac{2x^2}{x^2+4x}$ и $\frac{27}{2x^2+7x-4}$ равна дроби $\frac{7-2x}{2x-1}$;

б) разность дробей $\frac{5x-1}{2x-1}$ и $\frac{1}{x+2}$ равна дроби $\frac{3}{2-3x-2x^2}$.

Решение. №3.28 (с. 150)
Алгебра, 9 класс Учебник, авторы: Арефьева Ирина Глебовна, Пирютко Ольга Николаевна, издательство Народная асвета, Минск, 2019, голубого цвета, страница 150, номер 3.28, Решение Алгебра, 9 класс Учебник, авторы: Арефьева Ирина Глебовна, Пирютко Ольга Николаевна, издательство Народная асвета, Минск, 2019, голубого цвета, страница 150, номер 3.28, Решение (продолжение 2)
Решение 2. №3.28 (с. 150)

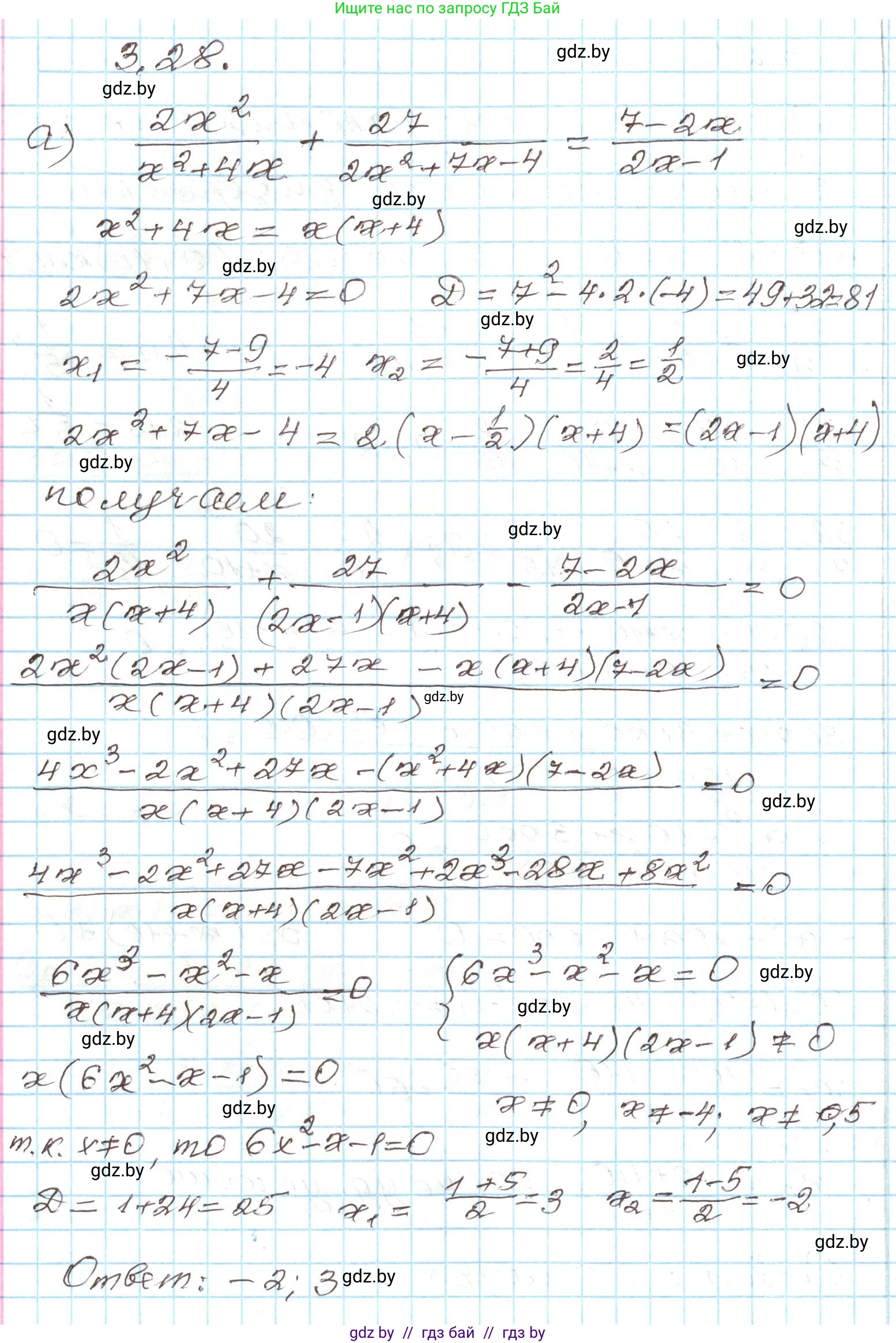
а) Требуется найти значения переменной $x$, при которых выполняется равенство:

$\frac{2x^2}{x^2+4x} + \frac{27}{2x^2+7x-4} = \frac{7-2x}{2x-1}$

1. Найдем область допустимых значений (ОДЗ). Для этого знаменатели дробей не должны быть равны нулю. Разложим знаменатели на множители:

  • $x^2+4x = x(x+4)$
  • $2x^2+7x-4$. Найдем корни квадратного уравнения $2x^2+7x-4=0$.
    $D = 7^2 - 4 \cdot 2 \cdot (-4) = 49 + 32 = 81 = 9^2$
    $x_1 = \frac{-7-9}{4} = -4$
    $x_2 = \frac{-7+9}{4} = \frac{2}{4} = \frac{1}{2}$
    Следовательно, $2x^2+7x-4 = 2(x+4)(x-\frac{1}{2}) = (x+4)(2x-1)$.
  • $2x-1$

Из этого следует, что знаменатели обращаются в ноль при $x=0, x=-4, x=\frac{1}{2}$.
ОДЗ: $x \neq 0, x \neq -4, x \neq \frac{1}{2}$.

2. Перепишем уравнение с разложенными знаменателями и упростим первую дробь (сократив на $x$, что возможно в силу ОДЗ):

$\frac{2x^2}{x(x+4)} + \frac{27}{(x+4)(2x-1)} = \frac{7-2x}{2x-1}$

$\frac{2x}{x+4} + \frac{27}{(x+4)(2x-1)} - \frac{7-2x}{2x-1} = 0$

3. Приведем все дроби к общему знаменателю $(x+4)(2x-1)$:

$\frac{2x(2x-1)}{(x+4)(2x-1)} + \frac{27}{(x+4)(2x-1)} - \frac{(7-2x)(x+4)}{(x+4)(2x-1)} = 0$

4. Решим уравнение, приравняв числитель к нулю:

$2x(2x-1) + 27 - (7-2x)(x+4) = 0$

$4x^2 - 2x + 27 - (7x + 28 - 2x^2 - 8x) = 0$

$4x^2 - 2x + 27 - (-2x^2 - x + 28) = 0$

$4x^2 - 2x + 27 + 2x^2 + x - 28 = 0$

$6x^2 - x - 1 = 0$

5. Найдем корни полученного квадратного уравнения:

$D = (-1)^2 - 4 \cdot 6 \cdot (-1) = 1 + 24 = 25 = 5^2$

$x_1 = \frac{1+5}{12} = \frac{6}{12} = \frac{1}{2}$

$x_2 = \frac{1-5}{12} = \frac{-4}{12} = -\frac{1}{3}$

6. Проверим корни на соответствие ОДЗ ($x \neq 0, x \neq -4, x \neq \frac{1}{2}$).

Корень $x_1 = \frac{1}{2}$ не входит в ОДЗ, поэтому является посторонним.

Корень $x_2 = -\frac{1}{3}$ удовлетворяет ОДЗ.

Ответ: $-\frac{1}{3}$.


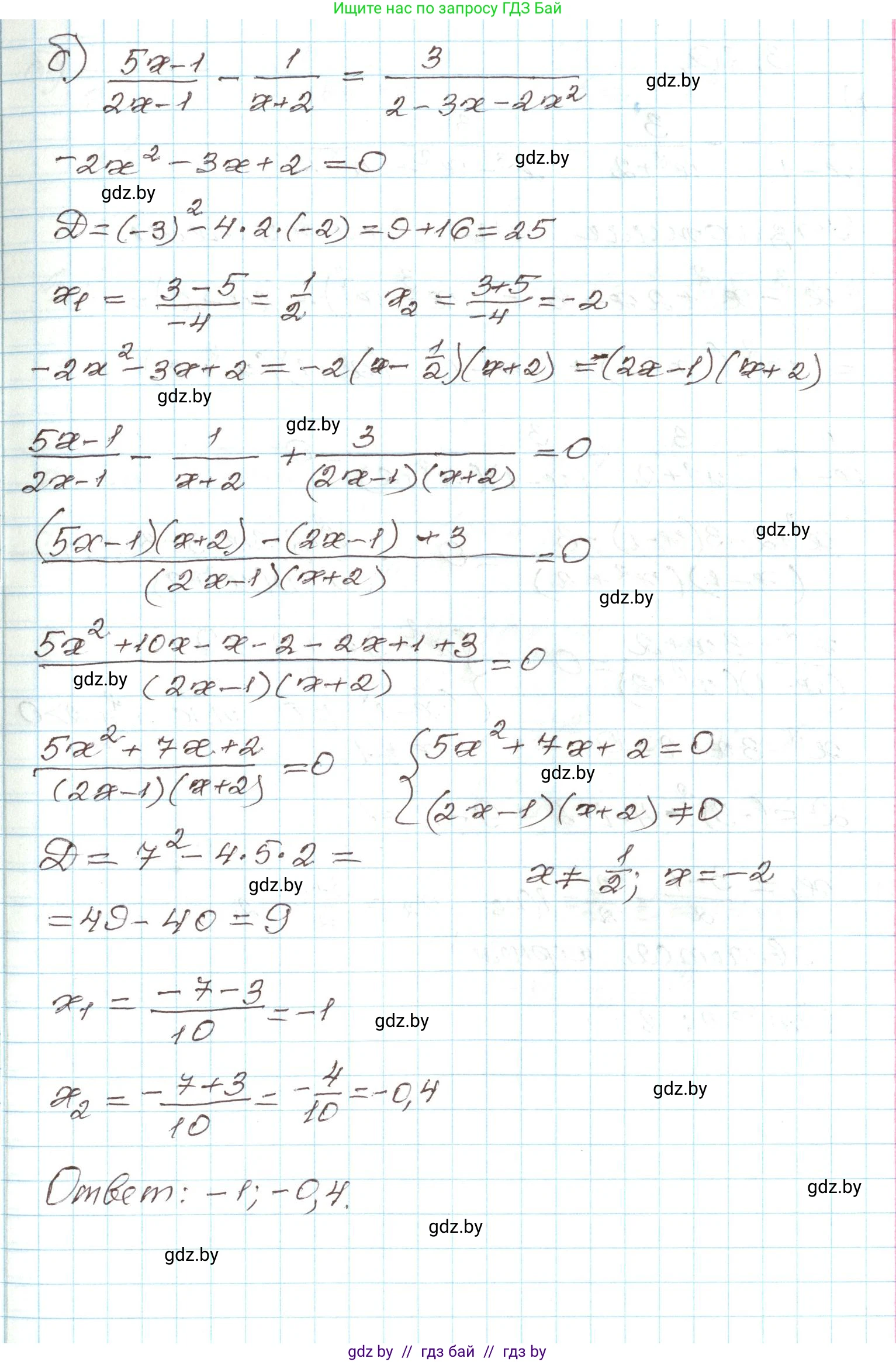
б) Требуется найти значения переменной $x$, при которых выполняется равенство:

$\frac{5x-1}{2x-1} - \frac{1}{x+2} = \frac{3}{2-3x-2x^2}$

1. Найдем область допустимых значений (ОДЗ). Разложим знаменатель третьей дроби на множители:

$2-3x-2x^2 = -(2x^2+3x-2)$. Найдем корни $2x^2+3x-2=0$.
$D = 3^2 - 4 \cdot 2 \cdot (-2) = 9 + 16 = 25 = 5^2$
$x_1 = \frac{-3-5}{4} = -2$
$x_2 = \frac{-3+5}{4} = \frac{2}{4} = \frac{1}{2}$
Следовательно, $2-3x-2x^2 = -(x+2)(2x-1)$.

Знаменатели обращаются в ноль при $x=\frac{1}{2}$ и $x=-2$.
ОДЗ: $x \neq \frac{1}{2}, x \neq -2$.

2. Перепишем уравнение с разложенным знаменателем:

$\frac{5x-1}{2x-1} - \frac{1}{x+2} = \frac{3}{-(x+2)(2x-1)}$

Перенесем все члены в левую часть:

$\frac{5x-1}{2x-1} - \frac{1}{x+2} + \frac{3}{(x+2)(2x-1)} = 0$

3. Приведем дроби к общему знаменателю $(2x-1)(x+2)$:

$\frac{(5x-1)(x+2)}{(2x-1)(x+2)} - \frac{1(2x-1)}{(2x-1)(x+2)} + \frac{3}{(2x-1)(x+2)} = 0$

4. Решим уравнение, приравняв числитель к нулю:

$(5x-1)(x+2) - (2x-1) + 3 = 0$

$5x^2 + 10x - x - 2 - 2x + 1 + 3 = 0$

$5x^2 + 7x + 2 = 0$

5. Найдем корни полученного квадратного уравнения:

$D = 7^2 - 4 \cdot 5 \cdot 2 = 49 - 40 = 9 = 3^2$

$x_1 = \frac{-7+3}{10} = \frac{-4}{10} = -\frac{2}{5}$

$x_2 = \frac{-7-3}{10} = \frac{-10}{10} = -1$

6. Оба корня $x_1 = -\frac{2}{5}$ и $x_2 = -1$ удовлетворяют ОДЗ ($x \neq \frac{1}{2}, x \neq -2$).

Ответ: $-1; -\frac{2}{5}$.

Помогло решение? Оставьте отзыв в комментариях ниже.

Присоединяйтесь к Телеграм-группе @gdz_by_belarus

Присоединиться

Мы подготовили для вас ответ c подробным объяснением домашего задания по алгебре за 9 класс, для упражнения номер 3.28 расположенного на странице 150 к учебнику 2019 года издания для учащихся школ и гимназий.

Теперь на нашем сайте ГДЗ.ТОП вы всегда легко и бесплатно найдёте условие с правильным ответом на вопрос «Как решить ДЗ» и «Как сделать» задание по алгебре к упражнению №3.28 (с. 150), авторов: Арефьева (Ирина Глебовна), Пирютко (Ольга Николаевна), учебного пособия издательства Народная асвета.