Номер 3.33, страница 150 - гдз по алгебре 9 класс учебник Арефьева, Пирютко

Алгебра, 9 класс Учебник, авторы: Арефьева Ирина Глебовна, Пирютко Ольга Николаевна, издательство Народная асвета, Минск, 2019, голубого цвета

Авторы: Арефьева И. Г., Пирютко О. Н.

Тип: Учебник

Издательство: Народная асвета

Год издания: 2019 - 2026

Цвет обложки: голубой, синий с графиком

ISBN: 978-985-03-3077-2

Допущено Министерством образования Республики Беларусь

Популярные ГДЗ в 9 классе

Глава 3. Дробно-рациональные уравнения и неравенства. Параграф 10. Дробно-рациональные уравнения - номер 3.33, страница 150.

№3.33 (с. 150)
Условие. №3.33 (с. 150)
скриншот условия
Алгебра, 9 класс Учебник, авторы: Арефьева Ирина Глебовна, Пирютко Ольга Николаевна, издательство Народная асвета, Минск, 2019, голубого цвета, страница 150, номер 3.33, Условие

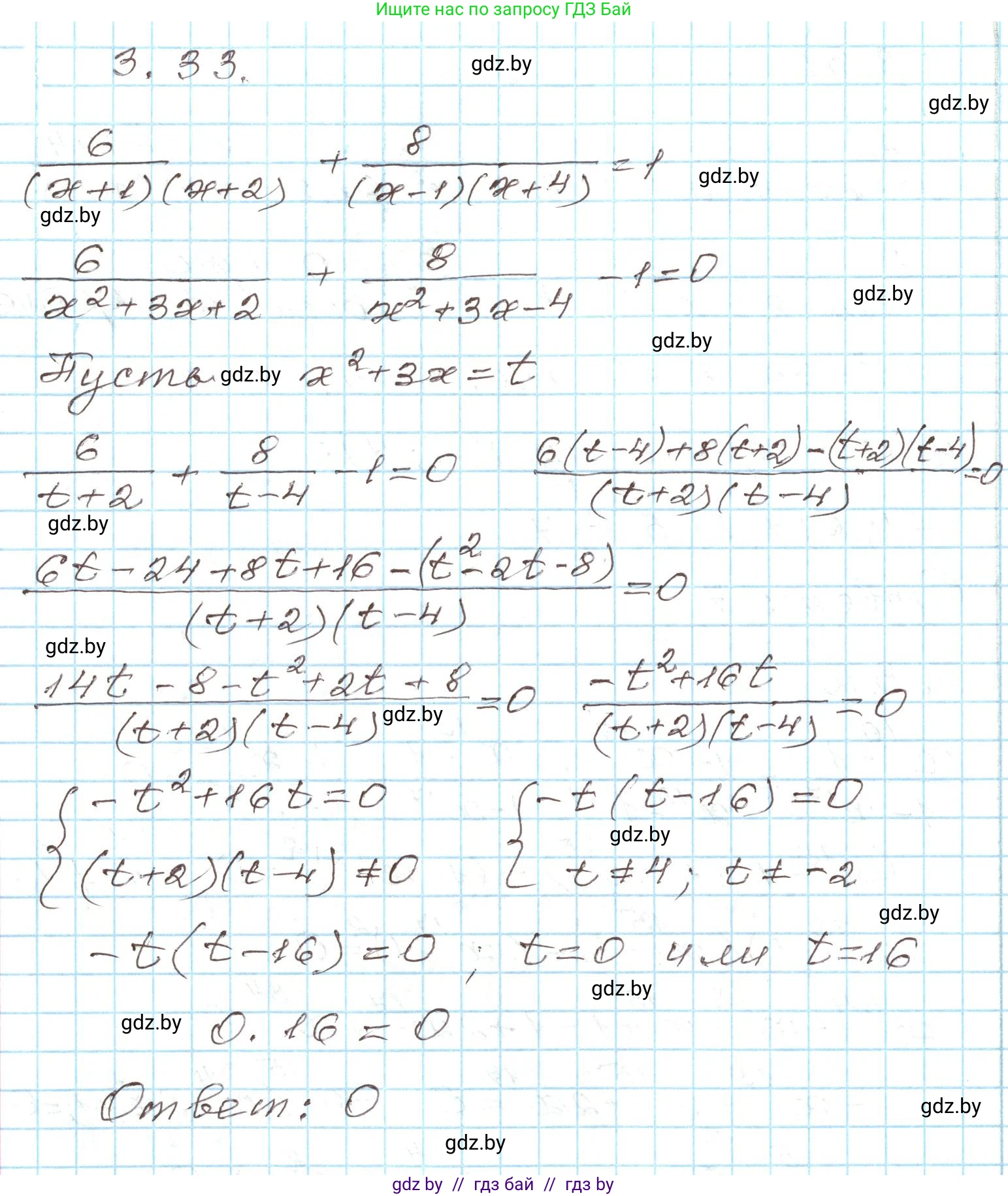
3.33*. Найдите произведение корней уравнения $ \frac{6}{(x+1)(x+2)} + \frac{8}{(x-1)(x+4)} = 1. $

Решение. №3.33 (с. 150)
Алгебра, 9 класс Учебник, авторы: Арефьева Ирина Глебовна, Пирютко Ольга Николаевна, издательство Народная асвета, Минск, 2019, голубого цвета, страница 150, номер 3.33, Решение
Решение 2. №3.33 (с. 150)

Для решения данного уравнения и нахождения произведения его корней выполним следующие шаги:

1. Определение области допустимых значений (ОДЗ)

Знаменатели дробей в уравнении не должны обращаться в ноль. Поэтому необходимо исключить значения $x$, при которых это происходит.

$(x + 1)(x + 2) \neq 0 \implies x \neq -1$ и $x \neq -2$.

$(x - 1)(x + 4) \neq 0 \implies x \neq 1$ и $x \neq -4$.

Таким образом, ОДЗ: $x \in \mathbb{R} \setminus \{-4, -2, -1, 1\}$.

2. Упрощение уравнения

Раскроем скобки в знаменателях, чтобы выявить общую структуру:

$(x + 1)(x + 2) = x^2 + 2x + x + 2 = x^2 + 3x + 2$

$(x - 1)(x + 4) = x^2 + 4x - x - 4 = x^2 + 3x - 4$

Теперь исходное уравнение можно переписать в виде:

$$ \frac{6}{x^2 + 3x + 2} + \frac{8}{x^2 + 3x - 4} = 1 $$

Мы видим, что в обоих знаменателях присутствует одно и то же выражение $x^2 + 3x$. Это позволяет сделать замену переменной для упрощения решения.

3. Введение новой переменной и решение уравнения

Пусть $y = x^2 + 3x$. Тогда уравнение принимает вид:

$$ \frac{6}{y + 2} + \frac{8}{y - 4} = 1 $$

Решим это рациональное уравнение относительно $y$. Приведем дроби к общему знаменателю $(y + 2)(y - 4)$, при условии, что $y \neq -2$ и $y \neq 4$:

$$ \frac{6(y - 4) + 8(y + 2)}{(y + 2)(y - 4)} = 1 $$

Умножим обе части уравнения на знаменатель:

$6(y - 4) + 8(y + 2) = (y + 2)(y - 4)$

$6y - 24 + 8y + 16 = y^2 - 4y + 2y - 8$

$14y - 8 = y^2 - 2y - 8$

Перенесем все члены в правую часть, чтобы получить стандартное квадратное уравнение:

$y^2 - 2y - 14y - 8 + 8 = 0$

$y^2 - 16y = 0$

Вынесем $y$ за скобку:

$y(y - 16) = 0$

Отсюда получаем два возможных значения для $y$:

$y_1 = 0$

$y_2 = 16$

Оба этих значения удовлетворяют условиям $y \neq -2$ и $y \neq 4$.

4. Обратная замена и нахождение корней исходного уравнения

Теперь необходимо вернуться к переменной $x$, подставив найденные значения $y$ в уравнение замены $y = x^2 + 3x$.

Случай 1: $y_1 = 0$

$x^2 + 3x = 0$

$x(x + 3) = 0$

Корни этого уравнения: $x_1 = 0$ и $x_2 = -3$. Оба корня принадлежат ОДЗ.

Случай 2: $y_2 = 16$

$x^2 + 3x = 16$

$x^2 + 3x - 16 = 0$

Это квадратное уравнение имеет два корня, $x_3$ и $x_4$. Можно не находить их явно. Достаточно проверить, что они существуют (дискриминант $D = 3^2 - 4(1)(-16) = 9 + 64 = 73 > 0$) и входят в ОДЗ (что так и есть, поскольку они иррациональны).

5. Вычисление произведения корней

Исходное уравнение имеет четыре корня: $x_1, x_2, x_3, x_4$. Нам нужно найти их произведение.

Произведение корней $P = x_1 \cdot x_2 \cdot x_3 \cdot x_4$.

Так как один из корней уравнения равен $x_1 = 0$, произведение всех корней автоматически становится равным нулю.

$P = 0 \cdot (-3) \cdot x_3 \cdot x_4 = 0$

Произведение корней уравнения: Ответ: 0

Помогло решение? Оставьте отзыв в комментариях ниже.

Присоединяйтесь к Телеграм-группе @gdz_by_belarus

Присоединиться

Мы подготовили для вас ответ c подробным объяснением домашего задания по алгебре за 9 класс, для упражнения номер 3.33 расположенного на странице 150 к учебнику 2019 года издания для учащихся школ и гимназий.

Теперь на нашем сайте ГДЗ.ТОП вы всегда легко и бесплатно найдёте условие с правильным ответом на вопрос «Как решить ДЗ» и «Как сделать» задание по алгебре к упражнению №3.33 (с. 150), авторов: Арефьева (Ирина Глебовна), Пирютко (Ольга Николаевна), учебного пособия издательства Народная асвета.