Номер 3.34, страница 150 - гдз по алгебре 9 класс учебник Арефьева, Пирютко

Алгебра, 9 класс Учебник, авторы: Арефьева Ирина Глебовна, Пирютко Ольга Николаевна, издательство Народная асвета, Минск, 2019, голубого цвета

Авторы: Арефьева И. Г., Пирютко О. Н.

Тип: Учебник

Издательство: Народная асвета

Год издания: 2019 - 2026

Цвет обложки: голубой, синий с графиком

ISBN: 978-985-03-3077-2

Допущено Министерством образования Республики Беларусь

Популярные ГДЗ в 9 классе

Глава 3. Дробно-рациональные уравнения и неравенства. Параграф 10. Дробно-рациональные уравнения - номер 3.34, страница 150.

№3.34 (с. 150)
Условие. №3.34 (с. 150)
скриншот условия
Алгебра, 9 класс Учебник, авторы: Арефьева Ирина Глебовна, Пирютко Ольга Николаевна, издательство Народная асвета, Минск, 2019, голубого цвета, страница 150, номер 3.34, Условие

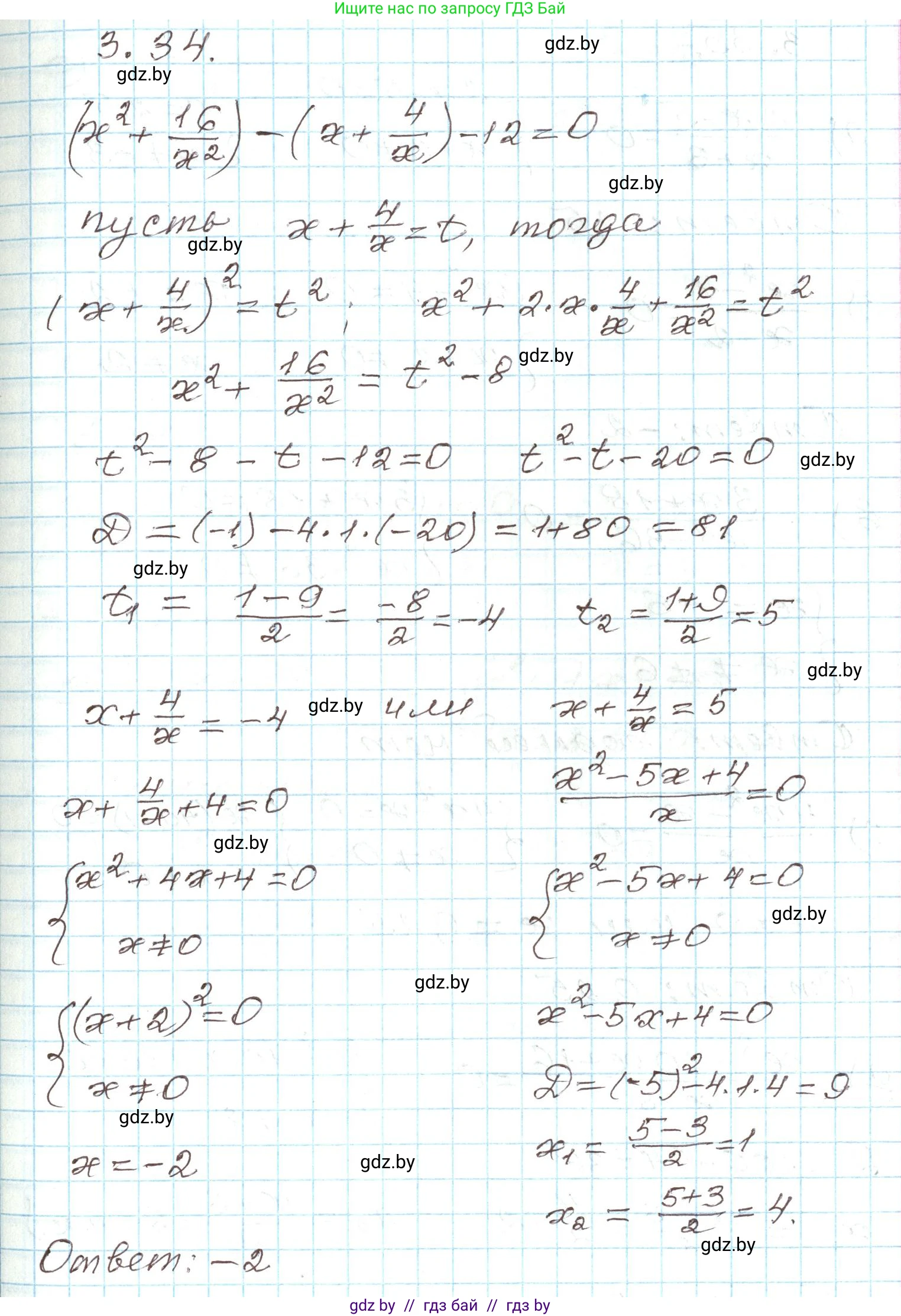
3.34*. Найдите меньший корень уравнения

$(x^2 + \frac{16}{x^2}) - (x + \frac{4}{x}) - 12 = 0.$

Решение. №3.34 (с. 150)
Алгебра, 9 класс Учебник, авторы: Арефьева Ирина Глебовна, Пирютко Ольга Николаевна, издательство Народная асвета, Минск, 2019, голубого цвета, страница 150, номер 3.34, Решение
Решение 2. №3.34 (с. 150)

Исходное уравнение: $(x^2 + \frac{16}{x^2}) - (x + \frac{4}{x}) - 12 = 0$.

Область допустимых значений (ОДЗ) для данного уравнения определяется условием, что знаменатель дроби не равен нулю, то есть $x \neq 0$.

Для решения этого уравнения применим метод замены переменной. Пусть $y = x + \frac{4}{x}$.

Чтобы выразить первое слагаемое $(x^2 + \frac{16}{x^2})$ через $y$, возведем выражение для $y$ в квадрат:

$y^2 = (x + \frac{4}{x})^2 = x^2 + 2 \cdot x \cdot \frac{4}{x} + (\frac{4}{x})^2 = x^2 + 8 + \frac{16}{x^2}$

Отсюда мы можем выразить искомое слагаемое:

$x^2 + \frac{16}{x^2} = y^2 - 8$

Теперь подставим новую переменную $y$ в исходное уравнение:

$(y^2 - 8) - y - 12 = 0$

Упростим полученное выражение, чтобы привести его к стандартному виду квадратного уравнения:

$y^2 - y - 20 = 0$

Решим это квадратное уравнение относительно $y$. Найдем дискриминант $D$:

$D = b^2 - 4ac = (-1)^2 - 4 \cdot 1 \cdot (-20) = 1 + 80 = 81$

Так как $D > 0$, уравнение имеет два различных корня:

$y_1 = \frac{-(-1) + \sqrt{81}}{2 \cdot 1} = \frac{1 + 9}{2} = 5$

$y_2 = \frac{-(-1) - \sqrt{81}}{2 \cdot 1} = \frac{1 - 9}{2} = -4$

Далее выполним обратную замену для каждого найденного значения $y$, чтобы найти корни исходного уравнения для $x$.

Случай 1: $y = 5$

Подставляем значение $y$ в уравнение замены:

$x + \frac{4}{x} = 5$

Умножим обе части на $x$ (что допустимо, так как $x \neq 0$):

$x^2 + 4 = 5x$

$x^2 - 5x + 4 = 0$

Решим это квадратное уравнение. По теореме Виета, сумма корней равна 5, а их произведение равно 4. Следовательно, корни: $x_1 = 1$ и $x_2 = 4$.

Случай 2: $y = -4$

Подставляем второе значение $y$:

$x + \frac{4}{x} = -4$

Умножим обе части на $x$:

$x^2 + 4 = -4x$

$x^2 + 4x + 4 = 0$

Данное уравнение является полным квадратом:

$(x+2)^2 = 0$

Отсюда получаем один корень (кратности 2): $x_3 = -2$.

В результате мы нашли три различных корня исходного уравнения: $1$, $4$ и $-2$. Все они удовлетворяют ОДЗ.

Согласно условию задачи, необходимо найти меньший корень. Сравнивая полученные корни $1$, $4$ и $-2$, устанавливаем, что наименьшим из них является $-2$.

3.34*: Ответ: -2

Помогло решение? Оставьте отзыв в комментариях ниже.

Присоединяйтесь к Телеграм-группе @gdz_by_belarus

Присоединиться

Мы подготовили для вас ответ c подробным объяснением домашего задания по алгебре за 9 класс, для упражнения номер 3.34 расположенного на странице 150 к учебнику 2019 года издания для учащихся школ и гимназий.

Теперь на нашем сайте ГДЗ.ТОП вы всегда легко и бесплатно найдёте условие с правильным ответом на вопрос «Как решить ДЗ» и «Как сделать» задание по алгебре к упражнению №3.34 (с. 150), авторов: Арефьева (Ирина Глебовна), Пирютко (Ольга Николаевна), учебного пособия издательства Народная асвета.