Номер 3.26, страница 149 - гдз по алгебре 9 класс учебник Арефьева, Пирютко

Алгебра, 9 класс Учебник, авторы: Арефьева Ирина Глебовна, Пирютко Ольга Николаевна, издательство Народная асвета, Минск, 2019, голубого цвета

Авторы: Арефьева И. Г., Пирютко О. Н.

Тип: Учебник

Издательство: Народная асвета

Год издания: 2019 - 2026

Цвет обложки: голубой, синий с графиком

ISBN: 978-985-03-3077-2

Допущено Министерством образования Республики Беларусь

Популярные ГДЗ в 9 классе

Глава 3. Дробно-рациональные уравнения и неравенства. Параграф 10. Дробно-рациональные уравнения - номер 3.26, страница 149.

№3.26 (с. 149)
Условие. №3.26 (с. 149)
скриншот условия
Алгебра, 9 класс Учебник, авторы: Арефьева Ирина Глебовна, Пирютко Ольга Николаевна, издательство Народная асвета, Минск, 2019, голубого цвета, страница 149, номер 3.26, Условие

3.26. Решите уравнение:

a) $\frac{5}{x+1} + \frac{4x-6}{(x+1)(x+3)} = 3;$

б) $\frac{6}{(x-1)(x-3)} + \frac{13-7x}{x-1} = \frac{3}{x-3};$

в) $\frac{x+4}{x+5} + \frac{9+2x}{x-2} = \frac{7}{x^2+3x-10};$

г) $\frac{2x^2}{x^2+x-6} - \frac{x+1}{x-2} = 1;$

д) $5 - \frac{x^2-14x-51}{x^2-x-12} = \frac{3x}{x-4};$

е) $\frac{2x-7}{x^2-9x+14} - \frac{1}{x-1} = \frac{1}{x^2-3x+2};$

Решение. №3.26 (с. 149)
Алгебра, 9 класс Учебник, авторы: Арефьева Ирина Глебовна, Пирютко Ольга Николаевна, издательство Народная асвета, Минск, 2019, голубого цвета, страница 149, номер 3.26, Решение Алгебра, 9 класс Учебник, авторы: Арефьева Ирина Глебовна, Пирютко Ольга Николаевна, издательство Народная асвета, Минск, 2019, голубого цвета, страница 149, номер 3.26, Решение (продолжение 2)
Решение 2. №3.26 (с. 149)

а) $\frac{5}{x+1} + \frac{4x-6}{(x+1)(x+3)} = 3$

Область допустимых значений (ОДЗ): Знаменатели не могут быть равны нулю, поэтому $x+1 \neq 0$ и $x+3 \neq 0$. Отсюда $x \neq -1$ и $x \neq -3$.

Приведем дроби к общему знаменателю $(x+1)(x+3)$ и умножим на него обе части уравнения, чтобы избавиться от дробей:

$5(x+3) + (4x-6) = 3(x+1)(x+3)$

Раскроем скобки и упростим выражение:

$5x + 15 + 4x - 6 = 3(x^2 + 3x + x + 3)$

$9x + 9 = 3(x^2 + 4x + 3)$

$9x + 9 = 3x^2 + 12x + 9$

Перенесем все слагаемые в одну сторону, чтобы получить квадратное уравнение:

$3x^2 + 12x - 9x + 9 - 9 = 0$

$3x^2 + 3x = 0$

Вынесем общий множитель за скобки:

$3x(x+1) = 0$

Это уравнение имеет два решения: $3x=0 \implies x_1 = 0$ и $x+1=0 \implies x_2 = -1$.

Проверим решения на соответствие ОДЗ. Корень $x=0$ входит в ОДЗ. Корень $x=-1$ является посторонним, так как не входит в ОДЗ.

Ответ: 0.

б) $\frac{6}{(x-1)(x-3)} + \frac{13-7x}{x-1} = \frac{3}{x-3}$

ОДЗ: $x-1 \neq 0$ и $x-3 \neq 0$, следовательно, $x \neq 1$ и $x \neq 3$.

Умножим обе части уравнения на общий знаменатель $(x-1)(x-3)$:

$6 + (13-7x)(x-3) = 3(x-1)$

Раскроем скобки:

$6 + 13x - 39 - 7x^2 + 21x = 3x - 3$

Приведем подобные слагаемые:

$-7x^2 + 34x - 33 = 3x - 3$

$-7x^2 + 34x - 3x - 33 + 3 = 0$

$-7x^2 + 31x - 30 = 0$

Умножим уравнение на $-1$ для удобства вычислений:

$7x^2 - 31x + 30 = 0$

Решим квадратное уравнение с помощью дискриминанта $D = b^2 - 4ac$:

$D = (-31)^2 - 4 \cdot 7 \cdot 30 = 961 - 840 = 121 = 11^2$

$x = \frac{-b \pm \sqrt{D}}{2a} = \frac{31 \pm 11}{14}$

$x_1 = \frac{31+11}{14} = \frac{42}{14} = 3$

$x_2 = \frac{31-11}{14} = \frac{20}{14} = \frac{10}{7}$

Проверим решения на соответствие ОДЗ. Корень $x=3$ является посторонним. Корень $x=\frac{10}{7}$ удовлетворяет ОДЗ.

Выделим целую часть из неправильной дроби: $\frac{10}{7} = 1\frac{3}{7}$.

Ответ: 1$\frac{3}{7}$.

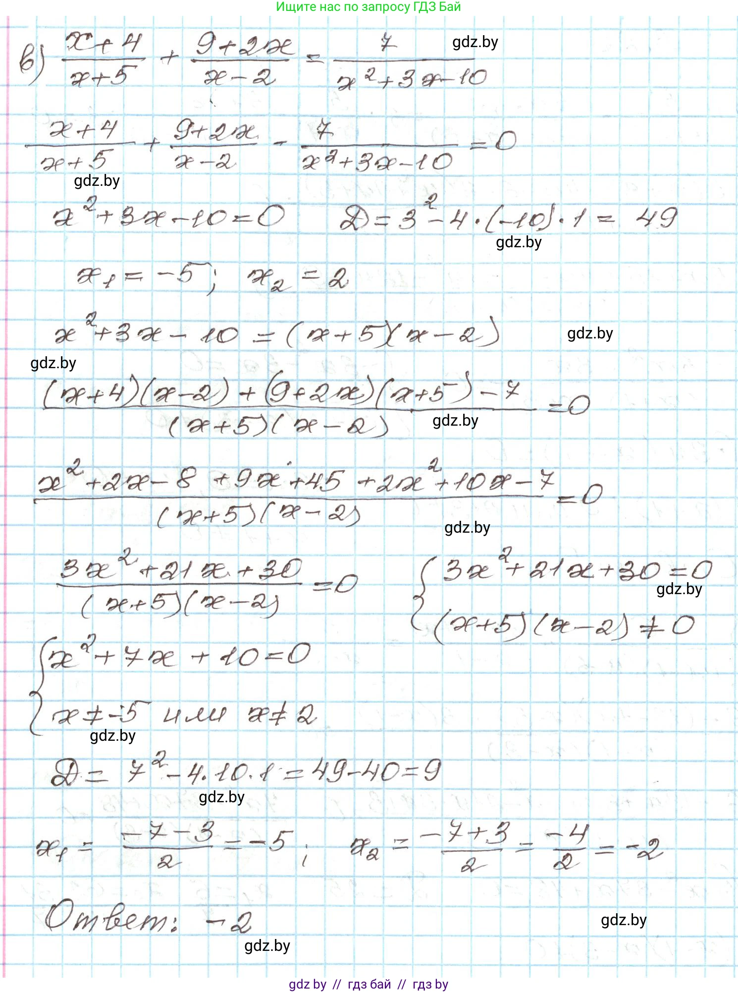
в) $\frac{x+4}{x+5} + \frac{9+2x}{x-2} = \frac{7}{x^2+3x-10}$

Разложим знаменатель в правой части на множители: $x^2+3x-10 = (x+5)(x-2)$.

ОДЗ: $x+5 \neq 0$ и $x-2 \neq 0$, следовательно, $x \neq -5$ и $x \neq 2$.

Умножим обе части уравнения на общий знаменатель $(x+5)(x-2)$:

$(x+4)(x-2) + (9+2x)(x+5) = 7$

Раскроем скобки:

$(x^2 + 2x - 8) + (2x^2 + 19x + 45) = 7$

$3x^2 + 21x + 37 = 7$

$3x^2 + 21x + 30 = 0$

Разделим все уравнение на 3:

$x^2 + 7x + 10 = 0$

По теореме Виета находим корни: $x_1 \cdot x_2 = 10$, $x_1 + x_2 = -7$. Корни $x_1=-2$ и $x_2=-5$.

Проверим решения на соответствие ОДЗ. Корень $x=-2$ удовлетворяет ОДЗ. Корень $x=-5$ является посторонним.

Ответ: -2.

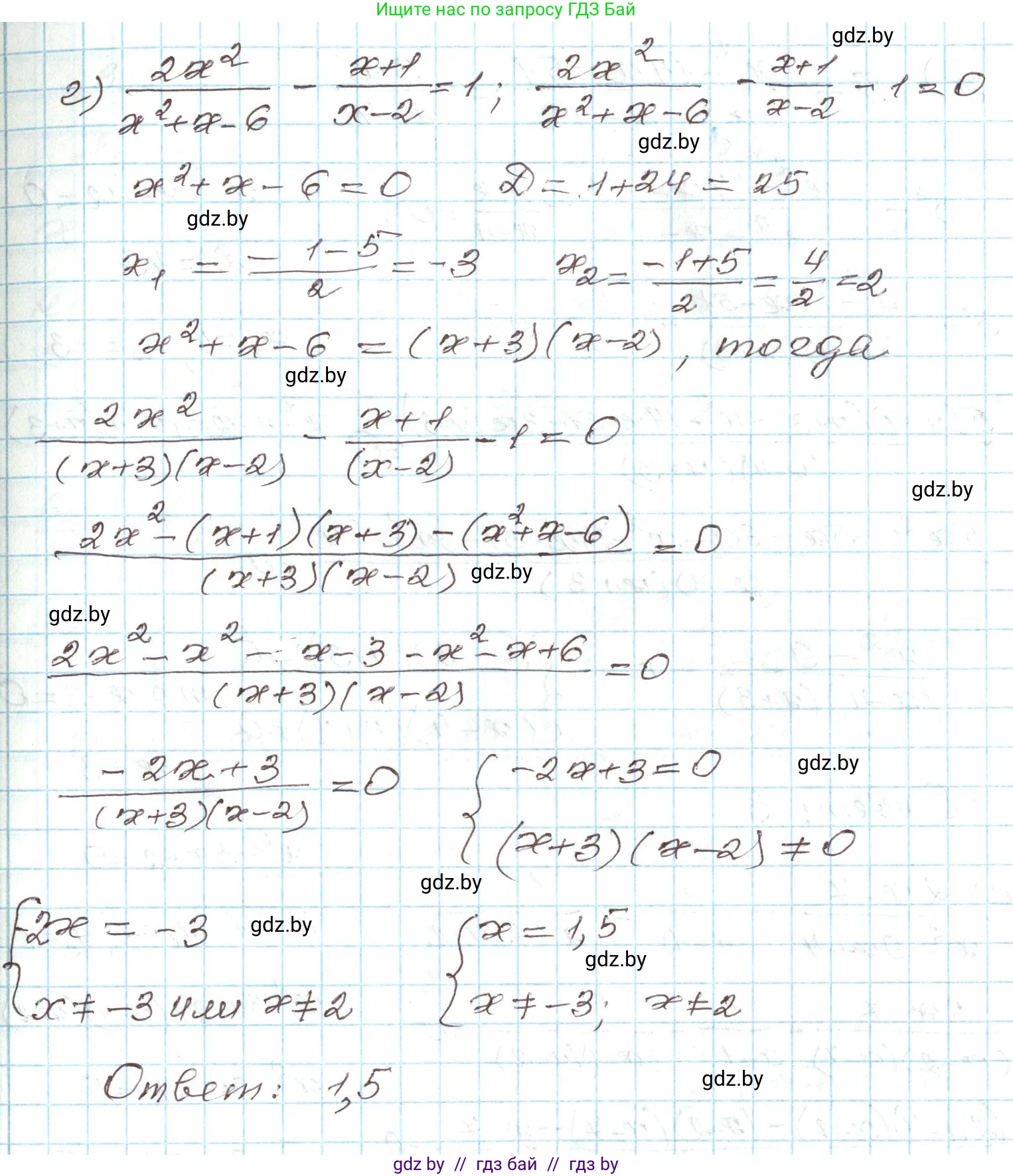
г) $\frac{2x^2}{x^2+x-6} - \frac{x+1}{x-2} = 1$

Разложим знаменатель первой дроби на множители: $x^2+x-6 = (x+3)(x-2)$.

ОДЗ: $x+3 \neq 0$ и $x-2 \neq 0$, следовательно, $x \neq -3$ и $x \neq 2$.

Умножим обе части на общий знаменатель $(x+3)(x-2)$:

$2x^2 - (x+1)(x+3) = 1 \cdot (x+3)(x-2)$

Раскроем скобки:

$2x^2 - (x^2 + 4x + 3) = x^2 + x - 6$

$2x^2 - x^2 - 4x - 3 = x^2 + x - 6$

$x^2 - 4x - 3 = x^2 + x - 6$

Сократим $x^2$ в обеих частях и перенесем слагаемые:

$-4x - x = -6 + 3$

$-5x = -3$

$x = \frac{3}{5}$

Корень $x = \frac{3}{5}$ удовлетворяет ОДЗ.

Ответ: $\frac{3}{5}$.

д) $5 - \frac{x^2-14x-51}{x^2-x-12} = \frac{3x}{x-4}$

Разложим знаменатель дроби на множители: $x^2-x-12 = (x-4)(x+3)$.

ОДЗ: $x-4 \neq 0$ и $x+3 \neq 0$, следовательно, $x \neq 4$ и $x \neq -3$.

Умножим обе части уравнения на общий знаменатель $(x-4)(x+3)$:

$5(x-4)(x+3) - (x^2-14x-51) = 3x(x+3)$

Раскроем скобки и упростим:

$5(x^2 - x - 12) - x^2 + 14x + 51 = 3x^2 + 9x$

$5x^2 - 5x - 60 - x^2 + 14x + 51 = 3x^2 + 9x$

$4x^2 + 9x - 9 = 3x^2 + 9x$

Перенесем все слагаемые в левую часть:

$4x^2 - 3x^2 + 9x - 9x - 9 = 0$

$x^2 - 9 = 0$

$(x-3)(x+3)=0$

Корни: $x_1=3$, $x_2=-3$.

Проверим решения на соответствие ОДЗ. Корень $x=3$ удовлетворяет ОДЗ. Корень $x=-3$ является посторонним.

Ответ: 3.

е) $\frac{2x-7}{x^2-9x+14} - \frac{1}{x-1} = \frac{1}{x^2-3x+2}$

Разложим знаменатели на множители: $x^2-9x+14 = (x-2)(x-7)$ и $x^2-3x+2 = (x-1)(x-2)$.

ОДЗ: $x-1 \neq 0$, $x-2 \neq 0$, $x-7 \neq 0$. Следовательно, $x \neq 1$, $x \neq 2$, $x \neq 7$.

Общий знаменатель $(x-1)(x-2)(x-7)$. Умножим на него обе части уравнения:

$(2x-7)(x-1) - 1(x-2)(x-7) = 1(x-7)$

Раскроем скобки:

$(2x^2 - 2x - 7x + 7) - (x^2 - 7x - 2x + 14) = x - 7$

$(2x^2 - 9x + 7) - (x^2 - 9x + 14) = x - 7$

$2x^2 - 9x + 7 - x^2 + 9x - 14 = x - 7$

Приведем подобные слагаемые:

$x^2 - 7 = x - 7$

$x^2 - x = 0$

$x(x-1) = 0$

Корни: $x_1=0$, $x_2=1$.

Проверим решения на соответствие ОДЗ. Корень $x=0$ удовлетворяет ОДЗ. Корень $x=1$ является посторонним.

Ответ: 0.

Помогло решение? Оставьте отзыв в комментариях ниже.

Присоединяйтесь к Телеграм-группе @gdz_by_belarus

Присоединиться

Мы подготовили для вас ответ c подробным объяснением домашего задания по алгебре за 9 класс, для упражнения номер 3.26 расположенного на странице 149 к учебнику 2019 года издания для учащихся школ и гимназий.

Теперь на нашем сайте ГДЗ.ТОП вы всегда легко и бесплатно найдёте условие с правильным ответом на вопрос «Как решить ДЗ» и «Как сделать» задание по алгебре к упражнению №3.26 (с. 149), авторов: Арефьева (Ирина Глебовна), Пирютко (Ольга Николаевна), учебного пособия издательства Народная асвета.