Номер 294, страница 298 - гдз по алгебре 9 класс учебник Арефьева, Пирютко

Алгебра, 9 класс Учебник, авторы: Арефьева Ирина Глебовна, Пирютко Ольга Николаевна, издательство Народная асвета, Минск, 2019, голубого цвета

Авторы: Арефьева И. Г., Пирютко О. Н.

Тип: Учебник

Издательство: Народная асвета

Год издания: 2019 - 2026

Цвет обложки: голубой, синий с графиком

ISBN: 978-985-03-3077-2

Допущено Министерством образования Республики Беларусь

Популярные ГДЗ в 9 классе

Итоговое повторение. Уравнения, неравенства, системы - номер 294, страница 298.

№294 (с. 298)
Условие. №294 (с. 298)
скриншот условия
Алгебра, 9 класс Учебник, авторы: Арефьева Ирина Глебовна, Пирютко Ольга Николаевна, издательство Народная асвета, Минск, 2019, голубого цвета, страница 298, номер 294, Условие

294. Решите неравенство:

a) $\frac{(x+3)(7x-2)}{x-5} \ge 0;$

б) $\frac{(x+\sqrt{5})(x-\sqrt{6})}{x+\sqrt{7}} \le 0;$

в) $\frac{(x+7)^2}{x^2-36} \le 0;$

г) $\frac{(x-8)(x-3)^2}{x-2} \ge 0.$

Решение. №294 (с. 298)
Алгебра, 9 класс Учебник, авторы: Арефьева Ирина Глебовна, Пирютко Ольга Николаевна, издательство Народная асвета, Минск, 2019, голубого цвета, страница 298, номер 294, Решение Алгебра, 9 класс Учебник, авторы: Арефьева Ирина Глебовна, Пирютко Ольга Николаевна, издательство Народная асвета, Минск, 2019, голубого цвета, страница 298, номер 294, Решение (продолжение 2)
Решение 2. №294 (с. 298)

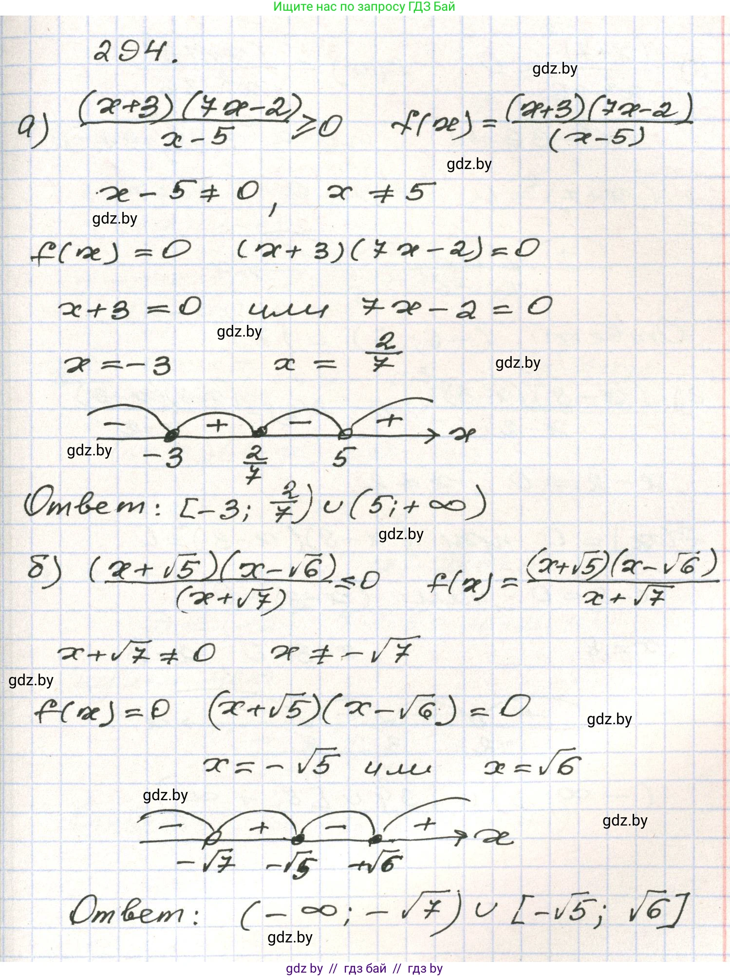
а) Решим неравенство методом интервалов. Для этого найдем точки, в которых выражение меняет знак или равно нулю.

1. Приравняем числитель и знаменатель к нулю, чтобы найти нули функции и точки разрыва:

Нули числителя (выражение равно 0):

  • $x + 3 = 0 \Rightarrow x_1 = -3$
  • $7x - 2 = 0 \Rightarrow 7x = 2 \Rightarrow x_2 = \frac{2}{7}$

Нуль знаменателя (точка разрыва, не входит в область определения):

  • $x - 5 = 0 \Rightarrow x_3 = 5$

2. Нанесем эти точки на числовую ось. Точки $x=-3$ и $x=\frac{2}{7}$ будут закрашенными, так как неравенство нестрогое ($\ge$). Точка $x=5$ будет выколотой, так как знаменатель не может быть равен нулю.

Получим интервалы: $(-\infty; -3]$, $[-3; \frac{2}{7}]$, $[\frac{2}{7}; 5)$ и $(5; +\infty)$.

3. Определим знак выражения на каждом интервале, подставив в него пробную точку.

  • При $x > 5$ (например, $x=6$): $\frac{(+)(+)}{(+)} > 0$. Знак "+".
  • При $\frac{2}{7} < x < 5$ (например, $x=1$): $\frac{(+)(+)}{(-)} < 0$. Знак "-".
  • При $-3 < x < \frac{2}{7}$ (например, $x=0$): $\frac{(+)(-)}{(-)} > 0$. Знак "+".
  • При $x < -3$ (например, $x=-4$): $\frac{(-)(-)}{(-)} < 0$. Знак "-".

4. Нам нужны интервалы, где выражение больше или равно нулю ($\ge 0$). Это интервалы со знаком "+" и закрашенные точки.

Ответ: $x \in [-3; \frac{2}{7}] \cup (5; +\infty)$.

б) Решим неравенство методом интервалов.

1. Найдем нули числителя и знаменателя:

Нули числителя (выражение равно 0):

  • $x + \sqrt{5} = 0 \Rightarrow x_1 = -\sqrt{5}$
  • $x - \sqrt{6} = 0 \Rightarrow x_2 = \sqrt{6}$

Нуль знаменателя (точка разрыва):

  • $x + \sqrt{7} = 0 \Rightarrow x_3 = -\sqrt{7}$

2. Сравним корни: $-\sqrt{7} \approx -2.65$, $-\sqrt{5} \approx -2.24$, $\sqrt{6} \approx 2.45$. Таким образом, на числовой оси точки располагаются в порядке: $-\sqrt{7}$, $-\sqrt{5}$, $\sqrt{6}$.

Точки $x=-\sqrt{5}$ и $x=\sqrt{6}$ закрашенные ($\le$). Точка $x=-\sqrt{7}$ выколотая.

Получим интервалы: $(-\infty; -\sqrt{7})$, $(-\sqrt{7}; -\sqrt{5}]$, $[-\sqrt{5}; \sqrt{6}]$ и $[\sqrt{6}; +\infty)$.

3. Определим знаки. В крайнем правом интервале выражение положительно. Так как все корни имеют нечетную кратность (равную 1), знаки будут чередоваться.

  • Интервал $[\sqrt{6}; +\infty)$: знак "+".
  • Интервал $[-\sqrt{5}; \sqrt{6}]$: знак "-".
  • Интервал $(-\sqrt{7}; -\sqrt{5}]$: знак "+".
  • Интервал $(-\infty; -\sqrt{7})$: знак "-".

4. Нам нужны интервалы, где выражение меньше или равно нулю ($\le 0$). Это интервалы со знаком "-".

Ответ: $x \in (-\infty; -\sqrt{7}) \cup [-\sqrt{5}; \sqrt{6}]$.

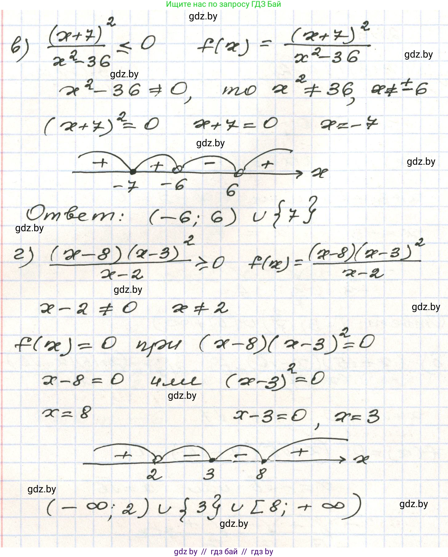
в) Решим неравенство $\frac{(x+7)^2}{x^2-36} \le 0$.

1. Разложим знаменатель на множители: $x^2-36 = (x-6)(x+6)$. Неравенство примет вид: $\frac{(x+7)^2}{(x-6)(x+6)} \le 0$.

2. Найдем нули числителя и знаменателя:

Нуль числителя:

  • $(x+7)^2 = 0 \Rightarrow x_1 = -7$. Этот корень имеет кратность 2 (четную), поэтому при переходе через него знак выражения не меняется.

Нули знаменателя:

  • $x-6=0 \Rightarrow x_2=6$
  • $x+6=0 \Rightarrow x_3=-6$

3. Нанесем точки на числовую ось: $-7, -6, 6$.

Точка $x=-7$ закрашенная (неравенство нестрогое). Точки $x=-6$ и $x=6$ выколотые.

4. Определим знаки на интервалах.

  • При $x>6$ (например, $x=10$): $\frac{(+)^2}{(+)(+)} > 0$. Знак "+".
  • При $-6<x<6$ (например, $x=0$): $\frac{(+)^2}{(-)(+)} < 0$. Знак "-".
  • При $-7<x<-6$ (например, $x=-6.5$): $\frac{(+)^2}{(-)(-)} > 0$. Знак "+".
  • При $x<-7$ (например, $x=-8$): $\frac{(+)^2}{(-)(-)} > 0$. Знак "+". (Знак не меняется при переходе через $x=-7$).

5. Нам нужно, чтобы выражение было меньше или равно нулю ($\le 0$).

Интервал со знаком "-" это $(-6; 6)$.

Также проверим, где выражение равно нулю. Это происходит при $x=-7$. $\frac{(-7+7)^2}{(-7)^2-36} = 0$. Так как $0 \le 0$ - это верное утверждение, точка $x=-7$ является решением.

Ответ: $x \in \{-7\} \cup (-6; 6)$.

г) Решим неравенство $\frac{(x-8)(x-3)^2}{x-2} \ge 0$.

1. Найдем нули числителя и знаменателя:

Нули числителя:

  • $x-8=0 \Rightarrow x_1=8$
  • $(x-3)^2=0 \Rightarrow x_2=3$. Корень имеет кратность 2 (четную), знак при переходе через него не меняется.

Нуль знаменателя:

  • $x-2=0 \Rightarrow x_3=2$

2. Нанесем точки на числовую ось: $2, 3, 8$.

Точки $x=3$ и $x=8$ закрашенные ($\ge$). Точка $x=2$ выколотая.

3. Определим знаки на интервалах.

  • При $x>8$ (например, $x=10$): $\frac{(+)(+)^2}{(+)} > 0$. Знак "+".
  • При $3<x<8$ (например, $x=5$): $\frac{(-)(+)^2}{(+)} < 0$. Знак "-".
  • При $2<x<3$ (например, $x=2.5$): $\frac{(-)(-)^2}{(+)} < 0$. Знак "-". (Знак не меняется при переходе через $x=3$).
  • При $x<2$ (например, $x=0$): $\frac{(-)(-)^2}{(-)} > 0$. Знак "+".

4. Нам нужно, чтобы выражение было больше или равно нулю ($\ge 0$).

Это интервалы со знаком "+": $(-\infty; 2)$ и $[8; +\infty)$.

Также проверяем, где выражение равно нулю. Это точки $x=3$ и $x=8$. Точка $x=8$ уже включена в решение. Точка $x=3$ удовлетворяет условию $0 \ge 0$, поэтому она также является решением.

Ответ: $x \in (-\infty; 2) \cup \{3\} \cup [8; +\infty)$.

Помогло решение? Оставьте отзыв в комментариях ниже.

Присоединяйтесь к Телеграм-группе @gdz_by_belarus

Присоединиться

Мы подготовили для вас ответ c подробным объяснением домашего задания по алгебре за 9 класс, для упражнения номер 294 расположенного на странице 298 к учебнику 2019 года издания для учащихся школ и гимназий.

Теперь на нашем сайте ГДЗ.ТОП вы всегда легко и бесплатно найдёте условие с правильным ответом на вопрос «Как решить ДЗ» и «Как сделать» задание по алгебре к упражнению №294 (с. 298), авторов: Арефьева (Ирина Глебовна), Пирютко (Ольга Николаевна), учебного пособия издательства Народная асвета.