Номер 295, страница 298 - гдз по алгебре 9 класс учебник Арефьева, Пирютко

Алгебра, 9 класс Учебник, авторы: Арефьева Ирина Глебовна, Пирютко Ольга Николаевна, издательство Народная асвета, Минск, 2019, голубого цвета

Авторы: Арефьева И. Г., Пирютко О. Н.

Тип: Учебник

Издательство: Народная асвета

Год издания: 2019 - 2026

Цвет обложки: голубой, синий с графиком

ISBN: 978-985-03-3077-2

Допущено Министерством образования Республики Беларусь

Популярные ГДЗ в 9 классе

Итоговое повторение. Уравнения, неравенства, системы - номер 295, страница 298.

№295 (с. 298)
Условие. №295 (с. 298)
скриншот условия
Алгебра, 9 класс Учебник, авторы: Арефьева Ирина Глебовна, Пирютко Ольга Николаевна, издательство Народная асвета, Минск, 2019, голубого цвета, страница 298, номер 295, Условие

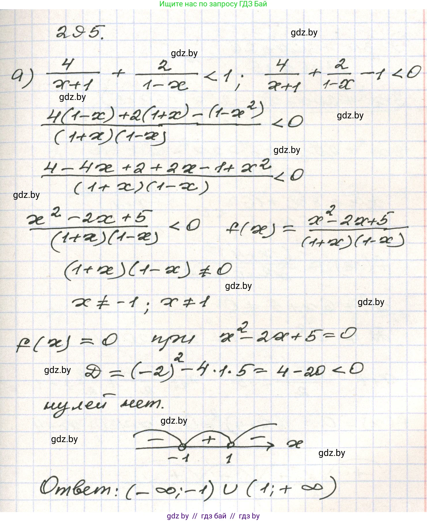
295. Решите неравенство:

a) $\frac{4}{x+1} + \frac{2}{1-x} < 1;$

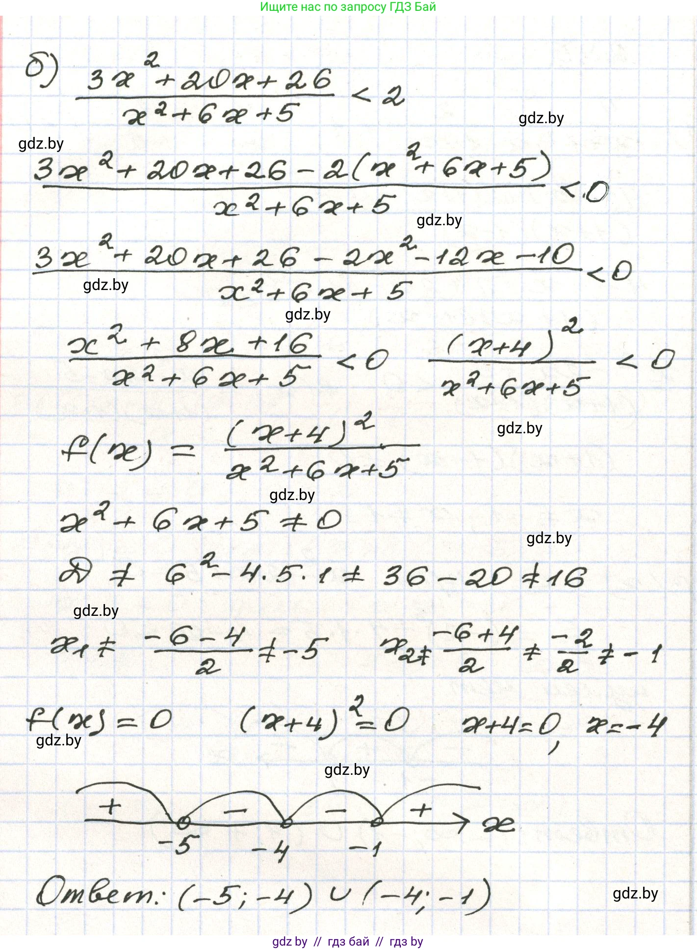
б) $\frac{3x^2 + 20x + 26}{x^2 + 6x + 5} < 2.$

Решение. №295 (с. 298)
Алгебра, 9 класс Учебник, авторы: Арефьева Ирина Глебовна, Пирютко Ольга Николаевна, издательство Народная асвета, Минск, 2019, голубого цвета, страница 298, номер 295, Решение Алгебра, 9 класс Учебник, авторы: Арефьева Ирина Глебовна, Пирютко Ольга Николаевна, издательство Народная асвета, Минск, 2019, голубого цвета, страница 298, номер 295, Решение (продолжение 2)
Решение 2. №295 (с. 298)

а) Исходное неравенство:

$\frac{4}{x+1} + \frac{2}{1-x} < 1$

Прежде всего, найдем область допустимых значений (ОДЗ). Знаменатели не должны равняться нулю, поэтому $x+1 \neq 0$ и $1-x \neq 0$, откуда $x \neq -1$ и $x \neq 1$.

Перенесем все члены неравенства в левую часть:

$\frac{4}{x+1} + \frac{2}{1-x} - 1 < 0$

Приведем дроби к общему знаменателю $(x+1)(1-x)$:

$\frac{4(1-x) + 2(x+1) - 1(x+1)(1-x)}{(x+1)(1-x)} < 0$

Раскроем скобки и упростим выражение в числителе:

$4 - 4x + 2x + 2 - (1-x^2) = 6 - 2x - 1 + x^2 = x^2 - 2x + 5$

Неравенство принимает вид:

$\frac{x^2 - 2x + 5}{(x+1)(1-x)} < 0$

Рассмотрим числитель $x^2 - 2x + 5$. Найдем его дискриминант, чтобы определить наличие корней:

$D = b^2 - 4ac = (-2)^2 - 4 \cdot 1 \cdot 5 = 4 - 20 = -16$

Поскольку дискриминант $D < 0$ и коэффициент при $x^2$ положителен ($a=1 > 0$), квадратный трехчлен $x^2 - 2x + 5$ положителен при всех действительных значениях $x$.

Так как числитель дроби всегда положителен, знак всего выражения зависит только от знака знаменателя. Таким образом, исходное неравенство равносильно неравенству:

$(x+1)(1-x) < 0$

Решим это неравенство методом интервалов. Корни выражения в левой части: $x=-1$ и $x=1$. Эти точки разбивают числовую прямую на три интервала:

  • $(-\infty; -1)$: Возьмем $x=-2$. $(-2+1)(1-(-2)) = (-1)(3) = -3 < 0$. Интервал является решением.
  • $(-1; 1)$: Возьмем $x=0$. $(0+1)(1-0) = 1 > 0$. Интервал не является решением.
  • $(1; +\infty)$: Возьмем $x=2$. $(2+1)(1-2) = (3)(-1) = -3 < 0$. Интервал является решением.

Объединяя найденные интервалы, получаем решение неравенства.

Ответ: $x \in (-\infty; -1) \cup (1; +\infty)$.

б) Исходное неравенство:

$\frac{3x^2 + 20x + 26}{x^2 + 6x + 5} < 2$

Найдем ОДЗ: знаменатель $x^2 + 6x + 5 \neq 0$. Корни уравнения $x^2+6x+5=0$ по теореме Виета $x_1=-1, x_2=-5$. Следовательно, $x \neq -1$ и $x \neq -5$.

Перенесем 2 в левую часть и приведем к общему знаменателю:

$\frac{3x^2 + 20x + 26}{x^2 + 6x + 5} - 2 < 0$

$\frac{3x^2 + 20x + 26 - 2(x^2 + 6x + 5)}{x^2 + 6x + 5} < 0$

Упростим числитель:

$3x^2 + 20x + 26 - 2x^2 - 12x - 10 = x^2 + 8x + 16$

Неравенство принимает вид:

$\frac{x^2 + 8x + 16}{x^2 + 6x + 5} < 0$

Разложим числитель и знаменатель на множители. Числитель является полным квадратом, а знаменатель мы уже раскладывали при поиске ОДЗ:

$\frac{(x+4)^2}{(x+1)(x+5)} < 0$

Применим метод интервалов. Найдем нули числителя и знаменателя. Нуль числителя: $x = -4$ (корень кратности 2). Нули знаменателя: $x = -1, x = -5$.

Отметим эти точки на числовой оси. Точки $x=-1$ и $x=-5$ выкалываем, так как они не входят в ОДЗ. Точку $x=-4$ также выкалываем, так как неравенство строгое ($< 0$), а при $x=-4$ выражение равно нулю.

Выражение $(x+4)^2$ всегда неотрицательно. При $x \neq -4$ оно строго положительно. Значит, для выполнения неравенства необходимо, чтобы знаменатель был отрицателен:

$(x+1)(x+5) < 0$

Корни этого выражения -5 и -1. График параболы $y=(x+1)(x+5)$ направлен ветвями вверх, поэтому она принимает отрицательные значения между корнями.

Таким образом, $-5 < x < -1$.

Теперь необходимо учесть, что $x \neq -4$. Точка $x=-4$ находится внутри интервала $(-5; -1)$, поэтому мы должны ее исключить из решения.

Разбиваем интервал $(-5; -1)$ на два интервала: $(-5; -4)$ и $(-4; -1)$.

Ответ: $x \in (-5; -4) \cup (-4; -1)$.

Помогло решение? Оставьте отзыв в комментариях ниже.

Присоединяйтесь к Телеграм-группе @gdz_by_belarus

Присоединиться

Мы подготовили для вас ответ c подробным объяснением домашего задания по алгебре за 9 класс, для упражнения номер 295 расположенного на странице 298 к учебнику 2019 года издания для учащихся школ и гимназий.

Теперь на нашем сайте ГДЗ.ТОП вы всегда легко и бесплатно найдёте условие с правильным ответом на вопрос «Как решить ДЗ» и «Как сделать» задание по алгебре к упражнению №295 (с. 298), авторов: Арефьева (Ирина Глебовна), Пирютко (Ольга Николаевна), учебного пособия издательства Народная асвета.