Номер 296, страница 298 - гдз по алгебре 9 класс учебник Арефьева, Пирютко
Авторы: Арефьева И. Г., Пирютко О. Н.
Тип: Учебник
Издательство: Народная асвета
Год издания: 2019 - 2026
Цвет обложки: голубой, синий с графиком
ISBN: 978-985-03-3077-2
Допущено Министерством образования Республики Беларусь
Популярные ГДЗ в 9 классе
Итоговое повторение. Уравнения, неравенства, системы - номер 296, страница 298.
№296 (с. 298)
Условие. №296 (с. 298)
скриншот условия
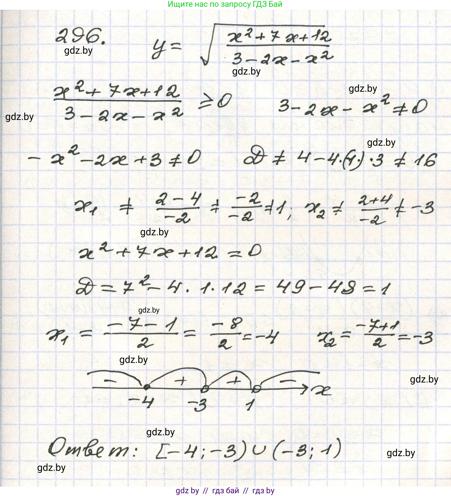
296. Найдите область определения функции
$y = \sqrt{\frac{x^2+7x+12}{3-2x-x^2}}$.
Решение. №296 (с. 298)
Решение 2. №296 (с. 298)
Область определения функции $y = \sqrt{\frac{x^2 + 7x + 12}{3 - 2x - x^2}}$ находится из условия, что выражение под знаком квадратного корня должно быть неотрицательным. Кроме того, знаменатель дроби не может быть равен нулю.
Это приводит к следующему неравенству:
$$ \frac{x^2 + 7x + 12}{3 - 2x - x^2} \ge 0 $$
Для решения этого неравенства воспользуемся методом интервалов. Для этого найдем корни числителя и знаменателя.
1. Найдем нули числителя: $x^2 + 7x + 12 = 0$.
С помощью теоремы Виета или через дискриминант находим корни: $x_1 = -4$ и $x_2 = -3$.
Тогда числитель можно разложить на множители: $x^2 + 7x + 12 = (x+4)(x+3)$.
2. Найдем нули знаменателя: $3 - 2x - x^2 = 0$.
Умножим уравнение на -1 для удобства: $x^2 + 2x - 3 = 0$.
Корни этого уравнения: $x_3 = -3$ и $x_4 = 1$.
Знаменатель можно разложить на множители: $3 - 2x - x^2 = -(x^2 + 2x - 3) = -(x+3)(x-1)$.
Знаменатель дроби не должен обращаться в ноль, поэтому $x \neq -3$ и $x \neq 1$.
Теперь подставим разложенные на множители выражения обратно в неравенство:
$$ \frac{(x+4)(x+3)}{-(x+3)(x-1)} \ge 0 $$
Точка $x = -3$ обращает в ноль и числитель, и знаменатель. Так как знаменатель не может быть равен нулю, мы должны исключить эту точку из области определения ($x \neq -3$). При этом условии мы можем сократить дробь на $(x+3)$:
$$ \frac{x+4}{-(x-1)} \ge 0 $$
Умножим обе части неравенства на -1, не забыв изменить знак неравенства на противоположный:
$$ \frac{x+4}{x-1} \le 0 $$
Теперь решим это простое неравенство методом интервалов. Отметим на числовой оси точки, в которых числитель и знаменатель равны нулю: $x = -4$ (корень числителя, точка будет "закрашенной", так как неравенство нестрогое) и $x = 1$ (корень знаменателя, точка будет "выколотой").
Определим знаки выражения $\frac{x+4}{x-1}$ на полученных интервалах:
- При $x < -4$ выражение положительно.
- При $-4 < x < 1$ выражение отрицательно.
- При $x > 1$ выражение положительно.
Нас интересует, где выражение меньше или равно нулю. Этому условию удовлетворяет промежуток $x \in [-4, 1)$.
На последнем шаге вспомним, что мы исключили точку $x = -3$. Эта точка входит в найденный промежуток $[-4, 1)$, поэтому ее необходимо "выколоть".
Ответ: $x \in [-4, -3) \cup (-3, 1)$.
Другие задания:
Помогло решение? Оставьте отзыв в комментариях ниже.
Присоединяйтесь к Телеграм-группе @gdz_by_belarus
ПрисоединитьсяМы подготовили для вас ответ c подробным объяснением домашего задания по алгебре за 9 класс, для упражнения номер 296 расположенного на странице 298 к учебнику 2019 года издания для учащихся школ и гимназий.
Теперь на нашем сайте ГДЗ.ТОП вы всегда легко и бесплатно найдёте условие с правильным ответом на вопрос «Как решить ДЗ» и «Как сделать» задание по алгебре к упражнению №296 (с. 298), авторов: Арефьева (Ирина Глебовна), Пирютко (Ольга Николаевна), учебного пособия издательства Народная асвета.