Номер 522, страница 139 - гдз по алгебре 9 класс учебник Макарычев, Миндюк

Алгебра, 9 класс Учебник, авторы: Макарычев Юрий Николаевич, Миндюк Нора Григорьевна, Нешков Константин Иванович, Суворова Светлана Борисовна, издательство Просвещение, Москва, 2014 - 2024

Авторы: Макарычев Ю. Н., Миндюк Н. Г., Нешков К. И., Суворова С. Б.

Тип: Учебник

Издательство: Просвещение

Год издания: 2014 - 2024

ISBN: 978-5-09-0779-15

Допущено Министерством просвещения Российской Федерации

Популярные ГДЗ в 9 классе

Глава 3. Уравнения и неравенства с двумя переменными. Дополнительные упражнения к главе 3. К параграфу 7 - номер 522, страница 139.

№522 (с. 139)
Условие. №522 (с. 139)
скриншот условия
Алгебра, 9 класс Учебник, авторы: Макарычев Юрий Николаевич, Миндюк Нора Григорьевна, Нешков Константин Иванович, Суворова Светлана Борисовна, издательство Просвещение, Москва, 2014 - 2024, страница 139, номер 522, Условие

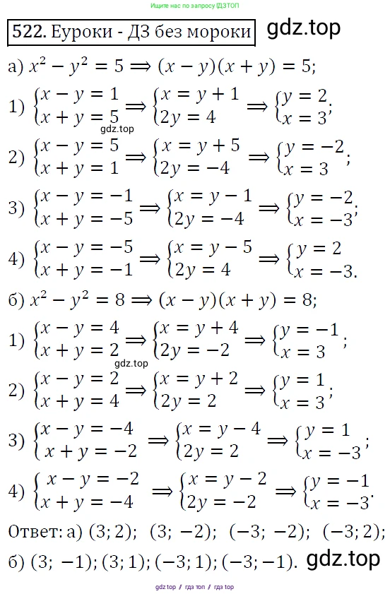
522. Найдите целые решения уравнения:

а) $x^2 - y^2 = 5$;

б) $x^2 - y^2 = 8$.

Решение 1. №522 (с. 139)
Алгебра, 9 класс Учебник, авторы: Макарычев Юрий Николаевич, Миндюк Нора Григорьевна, Нешков Константин Иванович, Суворова Светлана Борисовна, издательство Просвещение, Москва, 2014 - 2024, страница 139, номер 522, Решение 1
Алгебра, 9 класс Учебник, авторы: Макарычев Юрий Николаевич, Миндюк Нора Григорьевна, Нешков Константин Иванович, Суворова Светлана Борисовна, издательство Просвещение, Москва, 2014 - 2024, страница 139, номер 522, Решение 1 (продолжение 2)
Решение 2. №522 (с. 139)
Алгебра, 9 класс Учебник, авторы: Макарычев Юрий Николаевич, Миндюк Нора Григорьевна, Нешков Константин Иванович, Суворова Светлана Борисовна, издательство Просвещение, Москва, 2014 - 2024, страница 139, номер 522, Решение 2
Решение 3. №522 (с. 139)
Алгебра, 9 класс Учебник, авторы: Макарычев Юрий Николаевич, Миндюк Нора Григорьевна, Нешков Константин Иванович, Суворова Светлана Борисовна, издательство Просвещение, Москва, 2014 - 2024, страница 139, номер 522, Решение 3
Решение 4. №522 (с. 139)
Алгебра, 9 класс Учебник, авторы: Макарычев Юрий Николаевич, Миндюк Нора Григорьевна, Нешков Константин Иванович, Суворова Светлана Борисовна, издательство Просвещение, Москва, 2014 - 2024, страница 139, номер 522, Решение 4
Решение 5. №522 (с. 139)
Алгебра, 9 класс Учебник, авторы: Макарычев Юрий Николаевич, Миндюк Нора Григорьевна, Нешков Константин Иванович, Суворова Светлана Борисовна, издательство Просвещение, Москва, 2014 - 2024, страница 139, номер 522, Решение 5
Решение 6. №522 (с. 139)
Алгебра, 9 класс Учебник, авторы: Макарычев Юрий Николаевич, Миндюк Нора Григорьевна, Нешков Константин Иванович, Суворова Светлана Борисовна, издательство Просвещение, Москва, 2014 - 2024, страница 139, номер 522, Решение 6
Решение 7. №522 (с. 139)
Алгебра, 9 класс Учебник, авторы: Макарычев Юрий Николаевич, Миндюк Нора Григорьевна, Нешков Константин Иванович, Суворова Светлана Борисовна, издательство Просвещение, Москва, 2014 - 2024, страница 139, номер 522, Решение 7
Решение 8. №522 (с. 139)

а) $x^2 - y^2 = 5$

Данное уравнение является диофантовым уравнением. Для его решения в целых числах разложим левую часть на множители, используя формулу разности квадратов: $a^2 - b^2 = (a - b)(a + b)$.

$(x - y)(x + y) = 5$

Поскольку по условию $x$ и $y$ являются целыми числами, то выражения $(x - y)$ и $(x + y)$ также являются целыми числами. Их произведение равно 5. Следовательно, $(x - y)$ и $(x + y)$ — это пара целых делителей числа 5.

Целыми делителями числа 5 являются: $1, -1, 5, -5$. Рассмотрим все возможные комбинации пар множителей, дающих в произведении 5:

1. Пара множителей (1, 5). Это приводит к системе уравнений: $x - y = 1$ и $x + y = 5$. Сложив эти два уравнения, получаем: $(x - y) + (x + y) = 1 + 5$, что дает $2x = 6$, и, следовательно, $x = 3$. Подставив значение $x = 3$ во второе уравнение, находим $y$: $3 + y = 5$, откуда $y = 2$. Получаем первое целочисленное решение: $(3, 2)$.

2. Пара множителей (5, 1). Система: $x - y = 5$ и $x + y = 1$. Складывая уравнения, получаем $2x = 6$, откуда $x = 3$. Подставляя $x = 3$ во второе уравнение, находим $y$: $3 + y = 1$, откуда $y = -2$. Получаем второе решение: $(3, -2)$.

3. Пара множителей (-1, -5). Система: $x - y = -1$ и $x + y = -5$. Складывая уравнения, получаем $2x = -6$, откуда $x = -3$. Подставляя $x = -3$ во второе уравнение, находим $y$: $-3 + y = -5$, откуда $y = -2$. Получаем третье решение: $(-3, -2)$.

4. Пара множителей (-5, -1). Система: $x - y = -5$ и $x + y = -1$. Складывая уравнения, получаем $2x = -6$, откуда $x = -3$. Подставляя $x = -3$ во второе уравнение, находим $y$: $-3 + y = -1$, откуда $y = 2$. Получаем четвертое решение: $(-3, 2)$.

Ответ: $(3, 2)$, $(3, -2)$, $(-3, -2)$, $(-3, 2)$.

б) $x^2 - y^2 = 8$

Аналогично предыдущему пункту, разложим левую часть уравнения на множители:

$(x - y)(x + y) = 8$

Множители $(x - y)$ и $(x + y)$ являются целыми делителями числа 8. Обозначим $a = x - y$ и $b = x + y$. Решая эту систему относительно $x$ и $y$, получаем: $x = \frac{a+b}{2}$ и $y = \frac{b-a}{2}$. Чтобы $x$ и $y$ были целыми числами, суммы $a+b$ и $b-a$ должны быть четными. Это условие выполняется тогда и только тогда, когда числа $a$ и $b$ имеют одинаковую четность (оба четные или оба нечетные).

Произведение $ab = 8$ является четным числом, поэтому множители $a$ и $b$ не могут быть оба нечетными. Следовательно, они оба должны быть четными.

Найдем все пары четных делителей числа 8, произведение которых равно 8:

1. Пара множителей (2, 4). Система: $x - y = 2$ и $x + y = 4$. Складываем уравнения: $2x = 6 \implies x = 3$. Подставляем $x=3$ во второе уравнение: $3 + y = 4 \implies y = 1$. Решение: $(3, 1)$.

2. Пара множителей (4, 2). Система: $x - y = 4$ и $x + y = 2$. Складываем уравнения: $2x = 6 \implies x = 3$. Подставляем $x=3$ во второе уравнение: $3 + y = 2 \implies y = -1$. Решение: $(3, -1)$.

3. Пара множителей (-2, -4). Система: $x - y = -2$ и $x + y = -4$. Складываем уравнения: $2x = -6 \implies x = -3$. Подставляем $x=-3$ во второе уравнение: $-3 + y = -4 \implies y = -1$. Решение: $(-3, -1)$.

4. Пара множителей (-4, -2). Система: $x - y = -4$ и $x + y = -2$. Складываем уравнения: $2x = -6 \implies x = -3$. Подставляем $x=-3$ во второе уравнение: $-3 + y = -2 \implies y = 1$. Решение: $(-3, 1)$.

Ответ: $(3, 1)$, $(3, -1)$, $(-3, -1)$, $(-3, 1)$.

Помогло решение? Оставьте отзыв в комментариях ниже.

Присоединяйтесь к Телеграм-группе @top_gdz

Присоединиться

Мы подготовили для вас ответ c подробным объяснением домашего задания по алгебре за 9 класс, для упражнения номер 522 расположенного на странице 139 к учебнику 2014 - 2024 года издания для учащихся школ и гимназий.

Теперь на нашем сайте ГДЗ.ТОП вы всегда легко и бесплатно найдёте условие с правильным ответом на вопрос «Как решить ДЗ» и «Как сделать» задание по алгебре к упражнению №522 (с. 139), авторов: Макарычев (Юрий Николаевич), Миндюк (Нора Григорьевна), Нешков (Константин Иванович), Суворова (Светлана Борисовна), ФГОС (старый) учебного пособия издательства Просвещение.