Номер 527, страница 140 - гдз по алгебре 9 класс учебник Макарычев, Миндюк

Алгебра, 9 класс Учебник, авторы: Макарычев Юрий Николаевич, Миндюк Нора Григорьевна, Нешков Константин Иванович, Суворова Светлана Борисовна, издательство Просвещение, Москва, 2014 - 2024

Авторы: Макарычев Ю. Н., Миндюк Н. Г., Нешков К. И., Суворова С. Б.

Тип: Учебник

Издательство: Просвещение

Год издания: 2014 - 2024

ISBN: 978-5-09-0779-15

Допущено Министерством просвещения Российской Федерации

Популярные ГДЗ в 9 классе

Глава 3. Уравнения и неравенства с двумя переменными. Дополнительные упражнения к главе 3. К параграфу 7 - номер 527, страница 140.

№527 (с. 140)
Условие. №527 (с. 140)
скриншот условия
Алгебра, 9 класс Учебник, авторы: Макарычев Юрий Николаевич, Миндюк Нора Григорьевна, Нешков Константин Иванович, Суворова Светлана Борисовна, издательство Просвещение, Москва, 2014 - 2024, страница 140, номер 527, Условие

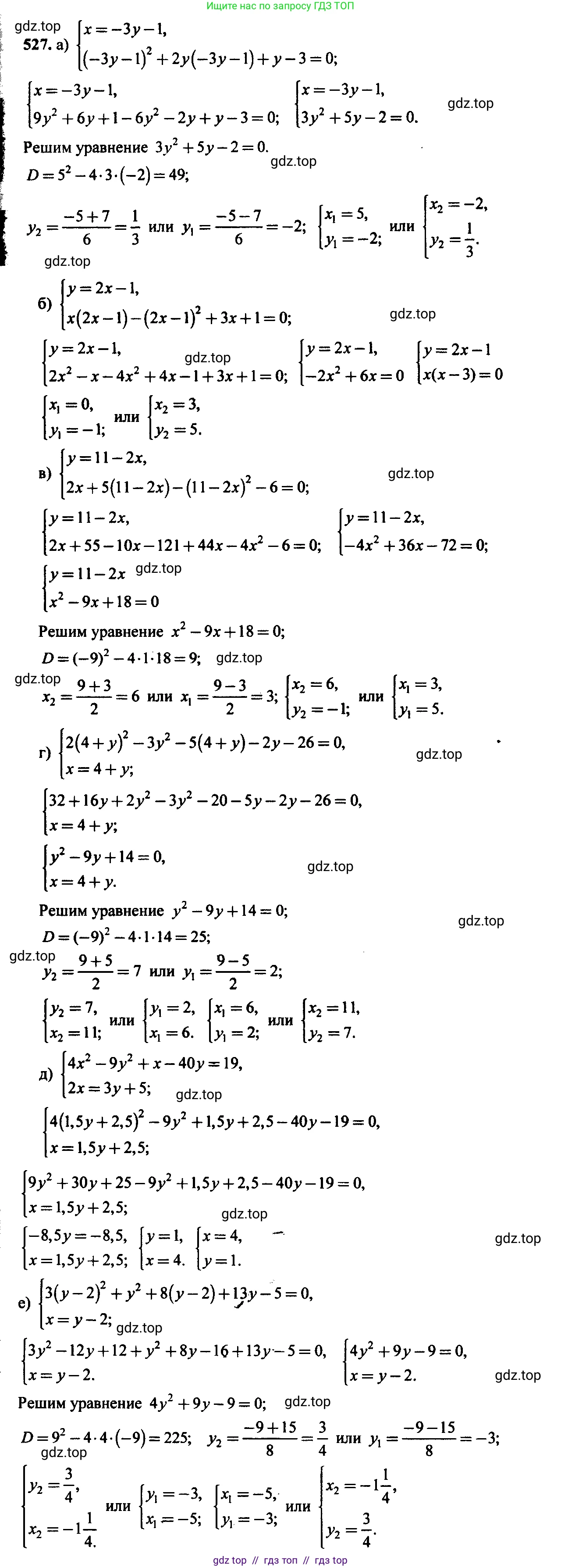
527. Решите систему уравнений:

а) $\begin{cases} x + 3y = -1, \\ x^2 + 2xy + y = 3; \end{cases}$

б) $\begin{cases} 2x - y = 1, \\ xy - y^2 + 3x = -1; \end{cases}$

в) $\begin{cases} 2x + y - 11 = 0, \\ 2x + 5y - y^2 - 6 = 0; \end{cases}$

г) $\begin{cases} 2x^2 - 3y^2 - 5x - 2y = 26, \\ x - y = 4; \end{cases}$

д) $\begin{cases} 4x^2 - 9y^2 + x - 40y = 19, \\ 2x - 3y = 5; \end{cases}$

е) $\begin{cases} 3x^2 + y^2 + 8x + 13y = 5, \\ x - y + 2 = 0. \end{cases}$

Решение 1. №527 (с. 140)
Алгебра, 9 класс Учебник, авторы: Макарычев Юрий Николаевич, Миндюк Нора Григорьевна, Нешков Константин Иванович, Суворова Светлана Борисовна, издательство Просвещение, Москва, 2014 - 2024, страница 140, номер 527, Решение 1
Алгебра, 9 класс Учебник, авторы: Макарычев Юрий Николаевич, Миндюк Нора Григорьевна, Нешков Константин Иванович, Суворова Светлана Борисовна, издательство Просвещение, Москва, 2014 - 2024, страница 140, номер 527, Решение 1 (продолжение 2)
Решение 2. №527 (с. 140)
Алгебра, 9 класс Учебник, авторы: Макарычев Юрий Николаевич, Миндюк Нора Григорьевна, Нешков Константин Иванович, Суворова Светлана Борисовна, издательство Просвещение, Москва, 2014 - 2024, страница 140, номер 527, Решение 2
Алгебра, 9 класс Учебник, авторы: Макарычев Юрий Николаевич, Миндюк Нора Григорьевна, Нешков Константин Иванович, Суворова Светлана Борисовна, издательство Просвещение, Москва, 2014 - 2024, страница 140, номер 527, Решение 2 (продолжение 2)
Решение 3. №527 (с. 140)
Алгебра, 9 класс Учебник, авторы: Макарычев Юрий Николаевич, Миндюк Нора Григорьевна, Нешков Константин Иванович, Суворова Светлана Борисовна, издательство Просвещение, Москва, 2014 - 2024, страница 140, номер 527, Решение 3
Решение 4. №527 (с. 140)
Алгебра, 9 класс Учебник, авторы: Макарычев Юрий Николаевич, Миндюк Нора Григорьевна, Нешков Константин Иванович, Суворова Светлана Борисовна, издательство Просвещение, Москва, 2014 - 2024, страница 140, номер 527, Решение 4
Решение 5. №527 (с. 140)
Алгебра, 9 класс Учебник, авторы: Макарычев Юрий Николаевич, Миндюк Нора Григорьевна, Нешков Константин Иванович, Суворова Светлана Борисовна, издательство Просвещение, Москва, 2014 - 2024, страница 140, номер 527, Решение 5
Решение 6. №527 (с. 140)
Алгебра, 9 класс Учебник, авторы: Макарычев Юрий Николаевич, Миндюк Нора Григорьевна, Нешков Константин Иванович, Суворова Светлана Борисовна, издательство Просвещение, Москва, 2014 - 2024, страница 140, номер 527, Решение 6
Решение 7. №527 (с. 140)
Алгебра, 9 класс Учебник, авторы: Макарычев Юрий Николаевич, Миндюк Нора Григорьевна, Нешков Константин Иванович, Суворова Светлана Борисовна, издательство Просвещение, Москва, 2014 - 2024, страница 140, номер 527, Решение 7 Алгебра, 9 класс Учебник, авторы: Макарычев Юрий Николаевич, Миндюк Нора Григорьевна, Нешков Константин Иванович, Суворова Светлана Борисовна, издательство Просвещение, Москва, 2014 - 2024, страница 140, номер 527, Решение 7 (продолжение 2)
Решение 8. №527 (с. 140)

а)Исходная система уравнений:$ \begin{cases} x + 3y = -1, \\ x^2 + 2xy + y = 3. \end{cases} $
Это система нелинейных уравнений. Для её решения удобно использовать метод подстановки. Выразим переменную $x$ из первого, линейного, уравнения:$ x = -1 - 3y $.
Теперь подставим это выражение для $x$ во второе уравнение системы:$ (-1 - 3y)^2 + 2(-1 - 3y)y + y = 3 $.
Раскроем скобки и упростим полученное уравнение:$ (1 + 6y + 9y^2) - 2y - 6y^2 + y = 3 $.
Приведем подобные слагаемые:$ (9y^2 - 6y^2) + (6y - 2y + y) + 1 = 3 $$ 3y^2 + 5y + 1 = 3 $$ 3y^2 + 5y - 2 = 0 $.
Мы получили квадратное уравнение относительно $y$. Решим его с помощью дискриминанта:$ D = b^2 - 4ac = 5^2 - 4 \cdot 3 \cdot (-2) = 25 + 24 = 49 = 7^2 $.
Найдем корни уравнения:$ y_1 = \frac{-b + \sqrt{D}}{2a} = \frac{-5 + 7}{2 \cdot 3} = \frac{2}{6} = \frac{1}{3} $.$ y_2 = \frac{-b - \sqrt{D}}{2a} = \frac{-5 - 7}{2 \cdot 3} = \frac{-12}{6} = -2 $.
Теперь найдем соответствующие значения $x$ для каждого найденного $y$, используя формулу $x = -1 - 3y$.
При $y_1 = \frac{1}{3}$:$ x_1 = -1 - 3 \cdot \frac{1}{3} = -1 - 1 = -2 $.
При $y_2 = -2$:$ x_2 = -1 - 3 \cdot (-2) = -1 + 6 = 5 $.
Таким образом, система имеет два решения.
Ответ: $(-2, \frac{1}{3}), (5, -2)$.

б)Исходная система уравнений:$ \begin{cases} 2x - y = 1, \\ xy - y^2 + 3x = -1. \end{cases} $
Воспользуемся методом подстановки. Выразим $y$ из первого уравнения:$ y = 2x - 1 $.
Подставим это выражение во второе уравнение:$ x(2x - 1) - (2x - 1)^2 + 3x = -1 $.
Раскроем скобки и упростим:$ 2x^2 - x - (4x^2 - 4x + 1) + 3x = -1 $$ 2x^2 - x - 4x^2 + 4x - 1 + 3x = -1 $.
Приведем подобные слагаемые:$ (2x^2 - 4x^2) + (-x + 4x + 3x) - 1 = -1 $$ -2x^2 + 6x - 1 = -1 $$ -2x^2 + 6x = 0 $.
Разделим уравнение на $-2$:$ x^2 - 3x = 0 $.
Вынесем $x$ за скобку:$ x(x - 3) = 0 $.
Отсюда получаем два возможных значения для $x$:$ x_1 = 0 $ или $ x_2 = 3 $.
Найдем соответствующие значения $y$ по формуле $y = 2x - 1$.
При $x_1 = 0$:$ y_1 = 2 \cdot 0 - 1 = -1 $.
При $x_2 = 3$:$ y_2 = 2 \cdot 3 - 1 = 6 - 1 = 5 $.
Система имеет два решения.
Ответ: $(0, -1), (3, 5)$.

в)Исходная система уравнений:$ \begin{cases} 2x + y - 11 = 0, \\ 2x + 5y - y^2 - 6 = 0. \end{cases} $
Заметим, что в обоих уравнениях присутствует слагаемое $2x$. Выразим его из первого уравнения:$ 2x = 11 - y $.
Подставим это выражение во второе уравнение:$ (11 - y) + 5y - y^2 - 6 = 0 $.
Упростим полученное уравнение:$ -y^2 + (5y - y) + (11 - 6) = 0 $$ -y^2 + 4y + 5 = 0 $.
Умножим уравнение на $-1$, чтобы коэффициент при $y^2$ стал положительным:$ y^2 - 4y - 5 = 0 $.
Это квадратное уравнение. Решим его. По теореме Виета (или через дискриминант) находим корни:$ y_1 = 5, y_2 = -1 $.
Теперь найдем соответствующие значения $x$, используя выражение $2x = 11 - y$, или $x = \frac{11 - y}{2}$.
При $y_1 = 5$:$ x_1 = \frac{11 - 5}{2} = \frac{6}{2} = 3 $.
При $y_2 = -1$:$ x_2 = \frac{11 - (-1)}{2} = \frac{12}{2} = 6 $.
Система имеет два решения.
Ответ: $(3, 5), (6, -1)$.

г)Исходная система уравнений:$ \begin{cases} 2x^2 - 3y^2 - 5x - 2y = 26, \\ x - y = 4. \end{cases} $
Используем метод подстановки. Из второго уравнения выразим $x$:$ x = y + 4 $.
Подставим это выражение в первое уравнение:$ 2(y + 4)^2 - 3y^2 - 5(y + 4) - 2y = 26 $.
Раскроем скобки:$ 2(y^2 + 8y + 16) - 3y^2 - 5y - 20 - 2y = 26 $.$ 2y^2 + 16y + 32 - 3y^2 - 5y - 20 - 2y = 26 $.
Приведем подобные слагаемые:$ (2y^2 - 3y^2) + (16y - 5y - 2y) + (32 - 20) = 26 $$ -y^2 + 9y + 12 = 26 $$ -y^2 + 9y - 14 = 0 $.
Умножим на $-1$:$ y^2 - 9y + 14 = 0 $.
Решим полученное квадратное уравнение. По теореме Виета корни:$ y_1 = 2, y_2 = 7 $.
Найдем соответствующие значения $x$ из $x = y + 4$.
При $y_1 = 2$:$ x_1 = 2 + 4 = 6 $.
При $y_2 = 7$:$ x_2 = 7 + 4 = 11 $.
Система имеет два решения.
Ответ: $(6, 2), (11, 7)$.

д)Исходная система уравнений:$ \begin{cases} 4x^2 - 9y^2 + x - 40y = 19, \\ 2x - 3y = 5. \end{cases} $
Заметим, что выражение $4x^2 - 9y^2$ в первом уравнении является разностью квадратов:$ 4x^2 - 9y^2 = (2x)^2 - (3y)^2 = (2x - 3y)(2x + 3y) $.
Перепишем первое уравнение с учетом этого:$ (2x - 3y)(2x + 3y) + x - 40y = 19 $.
Из второго уравнения системы мы знаем, что $2x - 3y = 5$. Подставим это значение в преобразованное первое уравнение:$ 5(2x + 3y) + x - 40y = 19 $.
Раскроем скобки и упростим:$ 10x + 15y + x - 40y = 19 $$ 11x - 25y = 19 $.
Теперь у нас есть система двух линейных уравнений:$ \begin{cases} 11x - 25y = 19, \\ 2x - 3y = 5. \end{cases} $
Решим эту систему. Умножим первое уравнение на 2, а второе на 11, чтобы уравнять коэффициенты при $x$:$ \begin{cases} 22x - 50y = 38, \\ 22x - 33y = 55. \end{cases} $
Вычтем второе уравнение из первого:$ (22x - 50y) - (22x - 33y) = 38 - 55 $$ -50y + 33y = -17 $$ -17y = -17 $$ y = 1 $.
Подставим найденное значение $y$ в уравнение $2x - 3y = 5$:$ 2x - 3(1) = 5 $$ 2x - 3 = 5 $$ 2x = 8 $$ x = 4 $.
Система имеет одно решение.
Ответ: $(4, 1)$.

е)Исходная система уравнений:$ \begin{cases} 3x^2 + y^2 + 8x + 13y = 5, \\ x - y + 2 = 0. \end{cases} $
Методом подстановки решим эту систему. Из второго уравнения выразим $y$:$ y = x + 2 $.
Подставим это выражение в первое уравнение:$ 3x^2 + (x + 2)^2 + 8x + 13(x + 2) = 5 $.
Раскроем скобки и приведем подобные слагаемые:$ 3x^2 + (x^2 + 4x + 4) + 8x + 13x + 26 = 5 $$ (3x^2 + x^2) + (4x + 8x + 13x) + (4 + 26) = 5 $$ 4x^2 + 25x + 30 = 5 $$ 4x^2 + 25x + 25 = 0 $.
Решим полученное квадратное уравнение с помощью дискриминанта:$ D = b^2 - 4ac = 25^2 - 4 \cdot 4 \cdot 25 = 625 - 400 = 225 = 15^2 $.
Найдем корни:$ x_1 = \frac{-b + \sqrt{D}}{2a} = \frac{-25 + 15}{2 \cdot 4} = \frac{-10}{8} = -\frac{5}{4} $.$ x_2 = \frac{-b - \sqrt{D}}{2a} = \frac{-25 - 15}{2 \cdot 4} = \frac{-40}{8} = -5 $.
Найдем соответствующие значения $y$ по формуле $y = x + 2$.
При $x_1 = -\frac{5}{4}$:$ y_1 = -\frac{5}{4} + 2 = -\frac{5}{4} + \frac{8}{4} = \frac{3}{4} $.
При $x_2 = -5$:$ y_2 = -5 + 2 = -3 $.
Система имеет два решения.
Ответ: $(-\frac{5}{4}, \frac{3}{4}), (-5, -3)$.

Помогло решение? Оставьте отзыв в комментариях ниже.

Присоединяйтесь к Телеграм-группе @top_gdz

Присоединиться

Мы подготовили для вас ответ c подробным объяснением домашего задания по алгебре за 9 класс, для упражнения номер 527 расположенного на странице 140 к учебнику 2014 - 2024 года издания для учащихся школ и гимназий.

Теперь на нашем сайте ГДЗ.ТОП вы всегда легко и бесплатно найдёте условие с правильным ответом на вопрос «Как решить ДЗ» и «Как сделать» задание по алгебре к упражнению №527 (с. 140), авторов: Макарычев (Юрий Николаевич), Миндюк (Нора Григорьевна), Нешков (Константин Иванович), Суворова (Светлана Борисовна), ФГОС (старый) учебного пособия издательства Просвещение.