Номер 528, страница 140 - гдз по алгебре 9 класс учебник Макарычев, Миндюк

Алгебра, 9 класс Учебник, авторы: Макарычев Юрий Николаевич, Миндюк Нора Григорьевна, Нешков Константин Иванович, Суворова Светлана Борисовна, издательство Просвещение, Москва, 2014 - 2024

Авторы: Макарычев Ю. Н., Миндюк Н. Г., Нешков К. И., Суворова С. Б.

Тип: Учебник

Издательство: Просвещение

Год издания: 2014 - 2024

ISBN: 978-5-09-0779-15

Допущено Министерством просвещения Российской Федерации

Популярные ГДЗ в 9 классе

Глава 3. Уравнения и неравенства с двумя переменными. Дополнительные упражнения к главе 3. К параграфу 7 - номер 528, страница 140.

№528 (с. 140)
Условие. №528 (с. 140)
скриншот условия
Алгебра, 9 класс Учебник, авторы: Макарычев Юрий Николаевич, Миндюк Нора Григорьевна, Нешков Константин Иванович, Суворова Светлана Борисовна, издательство Просвещение, Москва, 2014 - 2024, страница 140, номер 528, Условие

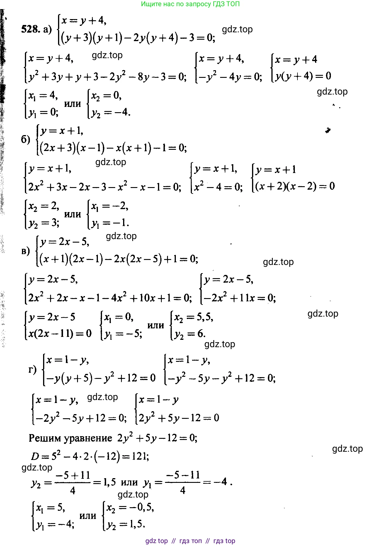
528. Найдите все решения системы уравнений:

а) $\begin{cases} x - y = 4 \\ (x - 1)(y + 1) = 2xy + 3 \end{cases}$

б) $\begin{cases} y - x = 1 \\ (2y + 1)(x - 1) = xy + 1 \end{cases}$

в) $\begin{cases} 2x - y = 5 \\ (x + 1)(y + 4) = 2xy - 1 \end{cases}$

г) $\begin{cases} x + y = 1 \\ (x - 1)(y + 5) = y^2 - 12 \end{cases}$

Решение 1. №528 (с. 140)
Алгебра, 9 класс Учебник, авторы: Макарычев Юрий Николаевич, Миндюк Нора Григорьевна, Нешков Константин Иванович, Суворова Светлана Борисовна, издательство Просвещение, Москва, 2014 - 2024, страница 140, номер 528, Решение 1
Алгебра, 9 класс Учебник, авторы: Макарычев Юрий Николаевич, Миндюк Нора Григорьевна, Нешков Константин Иванович, Суворова Светлана Борисовна, издательство Просвещение, Москва, 2014 - 2024, страница 140, номер 528, Решение 1 (продолжение 2)
Решение 2. №528 (с. 140)
Алгебра, 9 класс Учебник, авторы: Макарычев Юрий Николаевич, Миндюк Нора Григорьевна, Нешков Константин Иванович, Суворова Светлана Борисовна, издательство Просвещение, Москва, 2014 - 2024, страница 140, номер 528, Решение 2
Алгебра, 9 класс Учебник, авторы: Макарычев Юрий Николаевич, Миндюк Нора Григорьевна, Нешков Константин Иванович, Суворова Светлана Борисовна, издательство Просвещение, Москва, 2014 - 2024, страница 140, номер 528, Решение 2 (продолжение 2)
Решение 3. №528 (с. 140)
Алгебра, 9 класс Учебник, авторы: Макарычев Юрий Николаевич, Миндюк Нора Григорьевна, Нешков Константин Иванович, Суворова Светлана Борисовна, издательство Просвещение, Москва, 2014 - 2024, страница 140, номер 528, Решение 3
Решение 4. №528 (с. 140)
Алгебра, 9 класс Учебник, авторы: Макарычев Юрий Николаевич, Миндюк Нора Григорьевна, Нешков Константин Иванович, Суворова Светлана Борисовна, издательство Просвещение, Москва, 2014 - 2024, страница 140, номер 528, Решение 4
Решение 5. №528 (с. 140)
Алгебра, 9 класс Учебник, авторы: Макарычев Юрий Николаевич, Миндюк Нора Григорьевна, Нешков Константин Иванович, Суворова Светлана Борисовна, издательство Просвещение, Москва, 2014 - 2024, страница 140, номер 528, Решение 5
Решение 6. №528 (с. 140)
Алгебра, 9 класс Учебник, авторы: Макарычев Юрий Николаевич, Миндюк Нора Григорьевна, Нешков Константин Иванович, Суворова Светлана Борисовна, издательство Просвещение, Москва, 2014 - 2024, страница 140, номер 528, Решение 6
Решение 7. №528 (с. 140)
Алгебра, 9 класс Учебник, авторы: Макарычев Юрий Николаевич, Миндюк Нора Григорьевна, Нешков Константин Иванович, Суворова Светлана Борисовна, издательство Просвещение, Москва, 2014 - 2024, страница 140, номер 528, Решение 7 Алгебра, 9 класс Учебник, авторы: Макарычев Юрий Николаевич, Миндюк Нора Григорьевна, Нешков Константин Иванович, Суворова Светлана Борисовна, издательство Просвещение, Москва, 2014 - 2024, страница 140, номер 528, Решение 7 (продолжение 2)
Решение 8. №528 (с. 140)

а) Решим систему уравнений:

$$ \begin{cases} x - y = 4 \\ (x - 1)(y + 1) = 2xy + 3 \end{cases} $$

Из первого уравнения выразим $x$ через $y$: $x = y + 4$.

Подставим это выражение во второе уравнение системы:

$((y + 4) - 1)(y + 1) = 2(y + 4)y + 3$

Упростим и раскроем скобки:

$(y + 3)(y + 1) = 2y^2 + 8y + 3$

$y^2 + y + 3y + 3 = 2y^2 + 8y + 3$

$y^2 + 4y + 3 = 2y^2 + 8y + 3$

Перенесем все члены в одну сторону, чтобы получить квадратное уравнение:

$2y^2 - y^2 + 8y - 4y + 3 - 3 = 0$

$y^2 + 4y = 0$

Вынесем $y$ за скобки:

$y(y + 4) = 0$

Отсюда получаем два возможных значения для $y$:

$y_1 = 0$

$y_2 = -4$

Теперь найдем соответствующие значения $x$, используя формулу $x = y + 4$:

При $y_1 = 0$, $x_1 = 0 + 4 = 4$.

При $y_2 = -4$, $x_2 = -4 + 4 = 0$.

Таким образом, решения системы: $(4, 0)$ и $(0, -4)$.

Ответ: $(4, 0)$, $(0, -4)$.

б) Решим систему уравнений:

$$ \begin{cases} y - x = 1 \\ (2y + 1)(x - 1) = xy + 1 \end{cases} $$

Из первого уравнения выразим $y$ через $x$: $y = x + 1$.

Подставим это выражение во второе уравнение:

$(2(x + 1) + 1)(x - 1) = x(x + 1) + 1$

Упростим и раскроем скобки:

$(2x + 2 + 1)(x - 1) = x^2 + x + 1$

$(2x + 3)(x - 1) = x^2 + x + 1$

$2x^2 - 2x + 3x - 3 = x^2 + x + 1$

$2x^2 + x - 3 = x^2 + x + 1$

Перенесем все члены в одну сторону:

$2x^2 - x^2 + x - x - 3 - 1 = 0$

$x^2 - 4 = 0$

Это уравнение можно решить, разложив на множители:

$(x - 2)(x + 2) = 0$

Отсюда получаем два значения для $x$:

$x_1 = 2$

$x_2 = -2$

Найдем соответствующие значения $y$ по формуле $y = x + 1$:

При $x_1 = 2$, $y_1 = 2 + 1 = 3$.

При $x_2 = -2$, $y_2 = -2 + 1 = -1$.

Решения системы: $(2, 3)$ и $(-2, -1)$.

Ответ: $(2, 3)$, $(-2, -1)$.

в) Решим систему уравнений:

$$ \begin{cases} 2x - y = 5 \\ (x + 1)(y + 4) = 2xy - 1 \end{cases} $$

Из первого уравнения выразим $y$: $y = 2x - 5$.

Подставим во второе уравнение:

$(x + 1)((2x - 5) + 4) = 2x(2x - 5) - 1$

Упростим и раскроем скобки:

$(x + 1)(2x - 1) = 4x^2 - 10x - 1$

$2x^2 - x + 2x - 1 = 4x^2 - 10x - 1$

$2x^2 + x - 1 = 4x^2 - 10x - 1$

Приведем подобные члены:

$4x^2 - 2x^2 - 10x - x - 1 + 1 = 0$

$2x^2 - 11x = 0$

Вынесем $x$ за скобки:

$x(2x - 11) = 0$

Получаем два значения для $x$:

$x_1 = 0$

$2x_2 - 11 = 0 \Rightarrow x_2 = \frac{11}{2}$

Найдем соответствующие значения $y$ по формуле $y = 2x - 5$:

При $x_1 = 0$, $y_1 = 2(0) - 5 = -5$.

При $x_2 = \frac{11}{2}$, $y_2 = 2(\frac{11}{2}) - 5 = 11 - 5 = 6$.

Решения системы: $(0, -5)$ и $(\frac{11}{2}, 6)$.

Ответ: $(0, -5)$, $(\frac{11}{2}, 6)$.

г) Решим систему уравнений:

$$ \begin{cases} x + y = 1 \\ (x - 1)(y + 5) = y^2 - 12 \end{cases} $$

Из первого уравнения выразим $x$: $x = 1 - y$.

Подставим это выражение во второе уравнение:

$((1 - y) - 1)(y + 5) = y^2 - 12$

$(-y)(y + 5) = y^2 - 12$

Раскроем скобки:

$-y^2 - 5y = y^2 - 12$

Перенесем все в одну сторону:

$y^2 + y^2 + 5y - 12 = 0$

$2y^2 + 5y - 12 = 0$

Решим это квадратное уравнение с помощью дискриминанта $D = b^2 - 4ac$:

$D = 5^2 - 4(2)(-12) = 25 + 96 = 121 = 11^2$

Найдем корни уравнения:

$y_1 = \frac{-5 - 11}{2 \cdot 2} = \frac{-16}{4} = -4$

$y_2 = \frac{-5 + 11}{2 \cdot 2} = \frac{6}{4} = \frac{3}{2}$

Найдем соответствующие значения $x$ по формуле $x = 1 - y$:

При $y_1 = -4$, $x_1 = 1 - (-4) = 5$.

При $y_2 = \frac{3}{2}$, $x_2 = 1 - \frac{3}{2} = -\frac{1}{2}$.

Решения системы: $(5, -4)$ и $(-\frac{1}{2}, \frac{3}{2})$.

Ответ: $(5, -4)$, $(-\frac{1}{2}, \frac{3}{2})$.

Помогло решение? Оставьте отзыв в комментариях ниже.

Присоединяйтесь к Телеграм-группе @top_gdz

Присоединиться

Мы подготовили для вас ответ c подробным объяснением домашего задания по алгебре за 9 класс, для упражнения номер 528 расположенного на странице 140 к учебнику 2014 - 2024 года издания для учащихся школ и гимназий.

Теперь на нашем сайте ГДЗ.ТОП вы всегда легко и бесплатно найдёте условие с правильным ответом на вопрос «Как решить ДЗ» и «Как сделать» задание по алгебре к упражнению №528 (с. 140), авторов: Макарычев (Юрий Николаевич), Миндюк (Нора Григорьевна), Нешков (Константин Иванович), Суворова (Светлана Борисовна), ФГОС (старый) учебного пособия издательства Просвещение.