Номер 78, страница 29 - гдз по алгебре 9 класс учебник Макарычев, Миндюк

Алгебра, 9 класс Учебник, авторы: Макарычев Юрий Николаевич, Миндюк Нора Григорьевна, Нешков Константин Иванович, Суворова Светлана Борисовна, издательство Просвещение, Москва, 2014 - 2024

Авторы: Макарычев Ю. Н., Миндюк Н. Г., Нешков К. И., Суворова С. Б.

Тип: Учебник

Издательство: Просвещение

Год издания: 2014 - 2024

ISBN: 978-5-09-0779-15

Допущено Министерством просвещения Российской Федерации

Популярные ГДЗ в 9 классе

Глава 1. Квадратичная функция. Параграф 2. Квадратный трёхчлен. 4. Разложение квадратного трёхчлена на множители - номер 78, страница 29.

№78 (с. 29)
Условие. №78 (с. 29)
скриншот условия
Алгебра, 9 класс Учебник, авторы: Макарычев Юрий Николаевич, Миндюк Нора Григорьевна, Нешков Константин Иванович, Суворова Светлана Борисовна, издательство Просвещение, Москва, 2014 - 2024, страница 29, номер 78, Условие

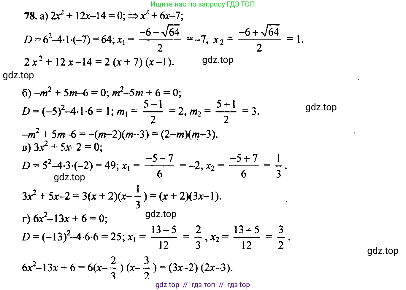
78. Разложите на множители квадратный трёхчлен:

а) $2x^2 + 12x - 14;$

б) $-m^2 + 5m - 6;$

в) $3x^2 + 5x - 2;$

г) $6x^2 - 13x + 6.$

Решение 1. №78 (с. 29)
Алгебра, 9 класс Учебник, авторы: Макарычев Юрий Николаевич, Миндюк Нора Григорьевна, Нешков Константин Иванович, Суворова Светлана Борисовна, издательство Просвещение, Москва, 2014 - 2024, страница 29, номер 78, Решение 1
Алгебра, 9 класс Учебник, авторы: Макарычев Юрий Николаевич, Миндюк Нора Григорьевна, Нешков Константин Иванович, Суворова Светлана Борисовна, издательство Просвещение, Москва, 2014 - 2024, страница 29, номер 78, Решение 1 (продолжение 2)
Решение 2. №78 (с. 29)
Алгебра, 9 класс Учебник, авторы: Макарычев Юрий Николаевич, Миндюк Нора Григорьевна, Нешков Константин Иванович, Суворова Светлана Борисовна, издательство Просвещение, Москва, 2014 - 2024, страница 29, номер 78, Решение 2
Решение 3. №78 (с. 29)
Алгебра, 9 класс Учебник, авторы: Макарычев Юрий Николаевич, Миндюк Нора Григорьевна, Нешков Константин Иванович, Суворова Светлана Борисовна, издательство Просвещение, Москва, 2014 - 2024, страница 29, номер 78, Решение 3
Решение 4. №78 (с. 29)
Алгебра, 9 класс Учебник, авторы: Макарычев Юрий Николаевич, Миндюк Нора Григорьевна, Нешков Константин Иванович, Суворова Светлана Борисовна, издательство Просвещение, Москва, 2014 - 2024, страница 29, номер 78, Решение 4
Решение 5. №78 (с. 29)
Алгебра, 9 класс Учебник, авторы: Макарычев Юрий Николаевич, Миндюк Нора Григорьевна, Нешков Константин Иванович, Суворова Светлана Борисовна, издательство Просвещение, Москва, 2014 - 2024, страница 29, номер 78, Решение 5
Решение 6. №78 (с. 29)
Алгебра, 9 класс Учебник, авторы: Макарычев Юрий Николаевич, Миндюк Нора Григорьевна, Нешков Константин Иванович, Суворова Светлана Борисовна, издательство Просвещение, Москва, 2014 - 2024, страница 29, номер 78, Решение 6
Решение 7. №78 (с. 29)
Алгебра, 9 класс Учебник, авторы: Макарычев Юрий Николаевич, Миндюк Нора Григорьевна, Нешков Константин Иванович, Суворова Светлана Борисовна, издательство Просвещение, Москва, 2014 - 2024, страница 29, номер 78, Решение 7
Решение 8. №78 (с. 29)

а) $2x^2 + 12x - 14$

Для разложения квадратного трехчлена $ax^2 + bx + c$ на множители используется формула $a(x-x_1)(x-x_2)$, где $x_1$ и $x_2$ – корни соответствующего квадратного уравнения $ax^2 + bx + c = 0$.

Сначала вынесем общий множитель 2 за скобки:

$2x^2 + 12x - 14 = 2(x^2 + 6x - 7)$.

Теперь найдем корни квадратного уравнения $x^2 + 6x - 7 = 0$.

Найдем дискриминант: $D = b^2 - 4ac = 6^2 - 4 \cdot 1 \cdot (-7) = 36 + 28 = 64$.

Корни уравнения:

$x_1 = \frac{-b - \sqrt{D}}{2a} = \frac{-6 - \sqrt{64}}{2 \cdot 1} = \frac{-6 - 8}{2} = \frac{-14}{2} = -7$.

$x_2 = \frac{-b + \sqrt{D}}{2a} = \frac{-6 + \sqrt{64}}{2 \cdot 1} = \frac{-6 + 8}{2} = \frac{2}{2} = 1$.

Подставим корни в формулу разложения $a(x-x_1)(x-x_2)$ для трехчлена $x^2 + 6x - 7$ (здесь $a=1$):

$x^2 + 6x - 7 = (x - (-7))(x - 1) = (x+7)(x-1)$.

Вернемся к исходному выражению с учетом вынесенного множителя 2:

$2(x+7)(x-1)$.

Ответ: $2(x+7)(x-1)$.

б) $-m^2 + 5m - 6$

Вынесем -1 за скобки, чтобы коэффициент при $m^2$ стал положительным:

$-m^2 + 5m - 6 = -(m^2 - 5m + 6)$.

Найдем корни квадратного уравнения $m^2 - 5m + 6 = 0$.

Найдем дискриминант: $D = b^2 - 4ac = (-5)^2 - 4 \cdot 1 \cdot 6 = 25 - 24 = 1$.

Корни уравнения:

$m_1 = \frac{-b - \sqrt{D}}{2a} = \frac{-(-5) - \sqrt{1}}{2 \cdot 1} = \frac{5 - 1}{2} = \frac{4}{2} = 2$.

$m_2 = \frac{-b + \sqrt{D}}{2a} = \frac{-(-5) + \sqrt{1}}{2 \cdot 1} = \frac{5 + 1}{2} = \frac{6}{2} = 3$.

Подставим корни в формулу разложения $(m-m_1)(m-m_2)$:

$m^2 - 5m + 6 = (m - 2)(m - 3)$.

Вернемся к исходному выражению с учетом вынесенного множителя -1:

$-(m - 2)(m - 3)$.

Ответ: $-(m - 2)(m - 3)$.

в) $3x^2 + 5x - 2$

Найдем корни квадратного уравнения $3x^2 + 5x - 2 = 0$.

Найдем дискриминант: $D = b^2 - 4ac = 5^2 - 4 \cdot 3 \cdot (-2) = 25 + 24 = 49$.

Корни уравнения:

$x_1 = \frac{-b - \sqrt{D}}{2a} = \frac{-5 - \sqrt{49}}{2 \cdot 3} = \frac{-5 - 7}{6} = \frac{-12}{6} = -2$.

$x_2 = \frac{-b + \sqrt{D}}{2a} = \frac{-5 + \sqrt{49}}{2 \cdot 3} = \frac{-5 + 7}{6} = \frac{2}{6} = \frac{1}{3}$.

Подставим корни в формулу разложения $a(x-x_1)(x-x_2)$:

$3(x - (-2))(x - \frac{1}{3}) = 3(x+2)(x - \frac{1}{3})$.

Чтобы избавиться от дроби, умножим множитель 3 на вторую скобку:

$(x+2) \cdot 3(x - \frac{1}{3}) = (x+2)(3x - 1)$.

Ответ: $(x+2)(3x - 1)$.

г) $6x^2 - 13x + 6$

Найдем корни квадратного уравнения $6x^2 - 13x + 6 = 0$.

Найдем дискриминант: $D = b^2 - 4ac = (-13)^2 - 4 \cdot 6 \cdot 6 = 169 - 144 = 25$.

Корни уравнения:

$x_1 = \frac{-b - \sqrt{D}}{2a} = \frac{-(-13) - \sqrt{25}}{2 \cdot 6} = \frac{13 - 5}{12} = \frac{8}{12} = \frac{2}{3}$.

$x_2 = \frac{-b + \sqrt{D}}{2a} = \frac{-(-13) + \sqrt{25}}{2 \cdot 6} = \frac{13 + 5}{12} = \frac{18}{12} = \frac{3}{2}$.

Подставим корни в формулу разложения $a(x-x_1)(x-x_2)$:

$6(x - \frac{2}{3})(x - \frac{3}{2})$.

Чтобы избавиться от дробей, представим множитель 6 как $3 \cdot 2$ и распределим множители по скобкам:

$3 \cdot (x - \frac{2}{3}) \cdot 2 \cdot (x - \frac{3}{2}) = (3x - 2)(2x - 3)$.

Ответ: $(3x-2)(2x-3)$.

Помогло решение? Оставьте отзыв в комментариях ниже.

Присоединяйтесь к Телеграм-группе @top_gdz

Присоединиться

Мы подготовили для вас ответ c подробным объяснением домашего задания по алгебре за 9 класс, для упражнения номер 78 расположенного на странице 29 к учебнику 2014 - 2024 года издания для учащихся школ и гимназий.

Теперь на нашем сайте ГДЗ.ТОП вы всегда легко и бесплатно найдёте условие с правильным ответом на вопрос «Как решить ДЗ» и «Как сделать» задание по алгебре к упражнению №78 (с. 29), авторов: Макарычев (Юрий Николаевич), Миндюк (Нора Григорьевна), Нешков (Константин Иванович), Суворова (Светлана Борисовна), ФГОС (старый) учебного пособия издательства Просвещение.