Номер 84, страница 30 - гдз по алгебре 9 класс учебник Макарычев, Миндюк

Алгебра, 9 класс Учебник, авторы: Макарычев Юрий Николаевич, Миндюк Нора Григорьевна, Нешков Константин Иванович, Суворова Светлана Борисовна, издательство Просвещение, Москва, 2014 - 2024

Авторы: Макарычев Ю. Н., Миндюк Н. Г., Нешков К. И., Суворова С. Б.

Тип: Учебник

Издательство: Просвещение

Год издания: 2014 - 2024

ISBN: 978-5-09-0779-15

Допущено Министерством просвещения Российской Федерации

Популярные ГДЗ в 9 классе

Глава 1. Квадратичная функция. Параграф 2. Квадратный трёхчлен. 4. Разложение квадратного трёхчлена на множители - номер 84, страница 30.

№84 (с. 30)
Условие. №84 (с. 30)
скриншот условия
Алгебра, 9 класс Учебник, авторы: Макарычев Юрий Николаевич, Миндюк Нора Григорьевна, Нешков Константин Иванович, Суворова Светлана Борисовна, издательство Просвещение, Москва, 2014 - 2024, страница 30, номер 84, Условие

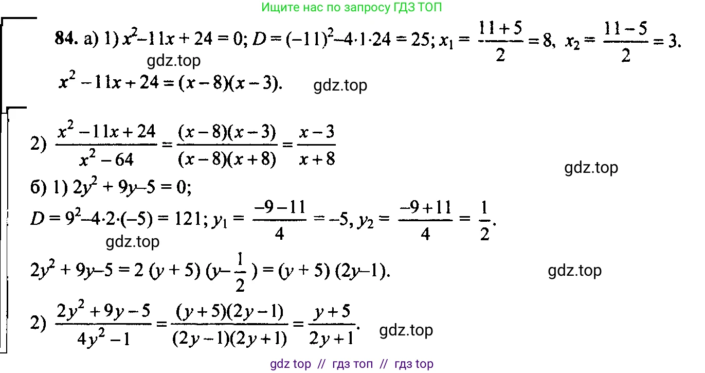
84. Сократите дробь:

а) $\frac{x^2 - 11x + 24}{x^2 - 64}$;

б) $\frac{2y^2 + 9y - 5}{4y^2 - 1}$.

Решение 1. №84 (с. 30)
Алгебра, 9 класс Учебник, авторы: Макарычев Юрий Николаевич, Миндюк Нора Григорьевна, Нешков Константин Иванович, Суворова Светлана Борисовна, издательство Просвещение, Москва, 2014 - 2024, страница 30, номер 84, Решение 1
Алгебра, 9 класс Учебник, авторы: Макарычев Юрий Николаевич, Миндюк Нора Григорьевна, Нешков Константин Иванович, Суворова Светлана Борисовна, издательство Просвещение, Москва, 2014 - 2024, страница 30, номер 84, Решение 1 (продолжение 2)
Решение 2. №84 (с. 30)
Алгебра, 9 класс Учебник, авторы: Макарычев Юрий Николаевич, Миндюк Нора Григорьевна, Нешков Константин Иванович, Суворова Светлана Борисовна, издательство Просвещение, Москва, 2014 - 2024, страница 30, номер 84, Решение 2
Решение 3. №84 (с. 30)
Алгебра, 9 класс Учебник, авторы: Макарычев Юрий Николаевич, Миндюк Нора Григорьевна, Нешков Константин Иванович, Суворова Светлана Борисовна, издательство Просвещение, Москва, 2014 - 2024, страница 30, номер 84, Решение 3
Решение 4. №84 (с. 30)
Алгебра, 9 класс Учебник, авторы: Макарычев Юрий Николаевич, Миндюк Нора Григорьевна, Нешков Константин Иванович, Суворова Светлана Борисовна, издательство Просвещение, Москва, 2014 - 2024, страница 30, номер 84, Решение 4
Решение 5. №84 (с. 30)
Алгебра, 9 класс Учебник, авторы: Макарычев Юрий Николаевич, Миндюк Нора Григорьевна, Нешков Константин Иванович, Суворова Светлана Борисовна, издательство Просвещение, Москва, 2014 - 2024, страница 30, номер 84, Решение 5
Решение 6. №84 (с. 30)
Алгебра, 9 класс Учебник, авторы: Макарычев Юрий Николаевич, Миндюк Нора Григорьевна, Нешков Константин Иванович, Суворова Светлана Борисовна, издательство Просвещение, Москва, 2014 - 2024, страница 30, номер 84, Решение 6
Решение 7. №84 (с. 30)
Алгебра, 9 класс Учебник, авторы: Макарычев Юрий Николаевич, Миндюк Нора Григорьевна, Нешков Константин Иванович, Суворова Светлана Борисовна, издательство Просвещение, Москва, 2014 - 2024, страница 30, номер 84, Решение 7
Решение 8. №84 (с. 30)

а) $\frac{x^2 - 11x + 24}{x^2 - 64}$

Для того чтобы сократить дробь, необходимо разложить на множители ее числитель и знаменатель.

1. Разложим на множители числитель $x^2 - 11x + 24$. Это квадратный трехчлен. Чтобы разложить его на множители, найдем корни соответствующего квадратного уравнения $x^2 - 11x + 24 = 0$.

Воспользуемся теоремой Виета. Сумма корней равна коэффициенту при $x$, взятому с противоположным знаком, то есть $11$. Произведение корней равно свободному члену, то есть $24$. Легко подобрать такие числа: это $3$ и $8$, так как $3 + 8 = 11$ и $3 \cdot 8 = 24$.

Таким образом, $x_1 = 3$ и $x_2 = 8$.

Разложение квадратного трехчлена имеет вид $a(x - x_1)(x - x_2)$. В нашем случае $a=1$, поэтому:

$x^2 - 11x + 24 = (x - 3)(x - 8)$.

2. Разложим на множители знаменатель $x^2 - 64$. Это формула разности квадратов $a^2 - b^2 = (a - b)(a + b)$.

$x^2 - 64 = x^2 - 8^2 = (x - 8)(x + 8)$.

3. Теперь подставим полученные разложения в исходную дробь и сократим общий множитель.

$\frac{x^2 - 11x + 24}{x^2 - 64} = \frac{(x - 3)(x - 8)}{(x - 8)(x + 8)}$

Общий множитель здесь $(x-8)$. Сократив на него, получаем (при условии, что $x-8 \neq 0$, то есть $x \neq 8$):

$\frac{x - 3}{x + 8}$

Ответ: $\frac{x - 3}{x + 8}$

б) $\frac{2y^2 + 9y - 5}{4y^2 - 1}$

Аналогично предыдущему пункту, разложим числитель и знаменатель на множители.

1. Разложим на множители числитель $2y^2 + 9y - 5$. Для этого решим квадратное уравнение $2y^2 + 9y - 5 = 0$ с помощью дискриминанта.

$D = b^2 - 4ac = 9^2 - 4 \cdot 2 \cdot (-5) = 81 + 40 = 121 = 11^2$

Найдем корни:

$y_{1,2} = \frac{-b \pm \sqrt{D}}{2a} = \frac{-9 \pm 11}{2 \cdot 2} = \frac{-9 \pm 11}{4}$

$y_1 = \frac{-9 + 11}{4} = \frac{2}{4} = \frac{1}{2}$

$y_2 = \frac{-9 - 11}{4} = \frac{-20}{4} = -5$

Используем формулу разложения $a(y - y_1)(y - y_2)$:

$2y^2 + 9y - 5 = 2(y - \frac{1}{2})(y - (-5)) = 2(y - \frac{1}{2})(y + 5)$.

Чтобы избавиться от дроби, умножим первый множитель в скобках на 2:

$(2y - 1)(y + 5)$.

2. Разложим на множители знаменатель $4y^2 - 1$. Это также разность квадратов.

$4y^2 - 1 = (2y)^2 - 1^2 = (2y - 1)(2y + 1)$.

3. Подставим разложения в дробь и выполним сокращение.

$\frac{2y^2 + 9y - 5}{4y^2 - 1} = \frac{(2y - 1)(y + 5)}{(2y - 1)(2y + 1)}$

Сокращаем на общий множитель $(2y - 1)$ (при условии $2y - 1 \neq 0$, то есть $y \neq \frac{1}{2}$):

$\frac{y + 5}{2y + 1}$

Ответ: $\frac{y + 5}{2y + 1}$

Помогло решение? Оставьте отзыв в комментариях ниже.

Присоединяйтесь к Телеграм-группе @top_gdz

Присоединиться

Мы подготовили для вас ответ c подробным объяснением домашего задания по алгебре за 9 класс, для упражнения номер 84 расположенного на странице 30 к учебнику 2014 - 2024 года издания для учащихся школ и гимназий.

Теперь на нашем сайте ГДЗ.ТОП вы всегда легко и бесплатно найдёте условие с правильным ответом на вопрос «Как решить ДЗ» и «Как сделать» задание по алгебре к упражнению №84 (с. 30), авторов: Макарычев (Юрий Николаевич), Миндюк (Нора Григорьевна), Нешков (Константин Иванович), Суворова (Светлана Борисовна), ФГОС (старый) учебного пособия издательства Просвещение.