Номер 85, страница 30 - гдз по алгебре 9 класс учебник Макарычев, Миндюк

Алгебра, 9 класс Учебник, авторы: Макарычев Юрий Николаевич, Миндюк Нора Григорьевна, Нешков Константин Иванович, Суворова Светлана Борисовна, издательство Просвещение, Москва, 2014 - 2024

Авторы: Макарычев Ю. Н., Миндюк Н. Г., Нешков К. И., Суворова С. Б.

Тип: Учебник

Издательство: Просвещение

Год издания: 2014 - 2024

ISBN: 978-5-09-0779-15

Допущено Министерством просвещения Российской Федерации

Популярные ГДЗ в 9 классе

Глава 1. Квадратичная функция. Параграф 2. Квадратный трёхчлен. 4. Разложение квадратного трёхчлена на множители - номер 85, страница 30.

№85 (с. 30)
Условие. №85 (с. 30)
скриншот условия
Алгебра, 9 класс Учебник, авторы: Макарычев Юрий Николаевич, Миндюк Нора Григорьевна, Нешков Константин Иванович, Суворова Светлана Борисовна, издательство Просвещение, Москва, 2014 - 2024, страница 30, номер 85, Условие

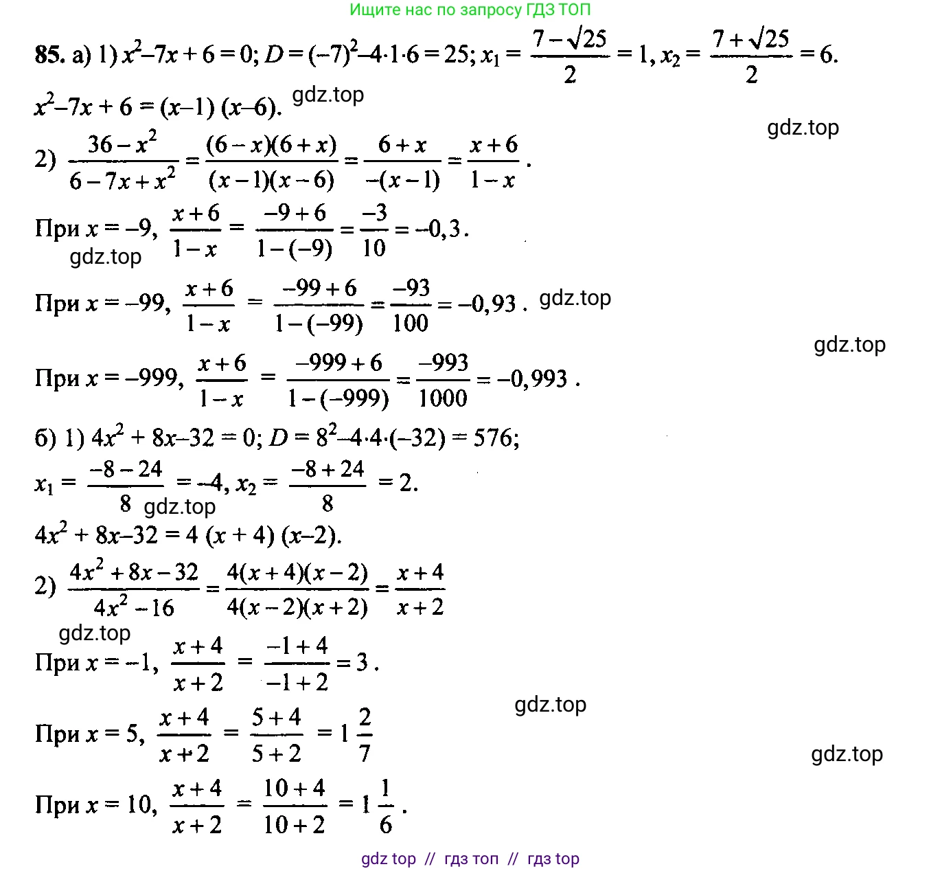
85. Найдите значение дроби:

а) $ \frac{36 - x^2}{6 - 7x + x^2} $ при $x = -9$; $-99$; $-999$;

б) $ \frac{4x^2 + 8x - 32}{4x^2 - 16} $ при $x = -1$; $5$; $10$.

Решение 1. №85 (с. 30)
Алгебра, 9 класс Учебник, авторы: Макарычев Юрий Николаевич, Миндюк Нора Григорьевна, Нешков Константин Иванович, Суворова Светлана Борисовна, издательство Просвещение, Москва, 2014 - 2024, страница 30, номер 85, Решение 1
Алгебра, 9 класс Учебник, авторы: Макарычев Юрий Николаевич, Миндюк Нора Григорьевна, Нешков Константин Иванович, Суворова Светлана Борисовна, издательство Просвещение, Москва, 2014 - 2024, страница 30, номер 85, Решение 1 (продолжение 2)
Решение 2. №85 (с. 30)
Алгебра, 9 класс Учебник, авторы: Макарычев Юрий Николаевич, Миндюк Нора Григорьевна, Нешков Константин Иванович, Суворова Светлана Борисовна, издательство Просвещение, Москва, 2014 - 2024, страница 30, номер 85, Решение 2
Алгебра, 9 класс Учебник, авторы: Макарычев Юрий Николаевич, Миндюк Нора Григорьевна, Нешков Константин Иванович, Суворова Светлана Борисовна, издательство Просвещение, Москва, 2014 - 2024, страница 30, номер 85, Решение 2 (продолжение 2)
Решение 3. №85 (с. 30)
Алгебра, 9 класс Учебник, авторы: Макарычев Юрий Николаевич, Миндюк Нора Григорьевна, Нешков Константин Иванович, Суворова Светлана Борисовна, издательство Просвещение, Москва, 2014 - 2024, страница 30, номер 85, Решение 3
Решение 4. №85 (с. 30)
Алгебра, 9 класс Учебник, авторы: Макарычев Юрий Николаевич, Миндюк Нора Григорьевна, Нешков Константин Иванович, Суворова Светлана Борисовна, издательство Просвещение, Москва, 2014 - 2024, страница 30, номер 85, Решение 4
Решение 5. №85 (с. 30)
Алгебра, 9 класс Учебник, авторы: Макарычев Юрий Николаевич, Миндюк Нора Григорьевна, Нешков Константин Иванович, Суворова Светлана Борисовна, издательство Просвещение, Москва, 2014 - 2024, страница 30, номер 85, Решение 5
Решение 6. №85 (с. 30)
Алгебра, 9 класс Учебник, авторы: Макарычев Юрий Николаевич, Миндюк Нора Григорьевна, Нешков Константин Иванович, Суворова Светлана Борисовна, издательство Просвещение, Москва, 2014 - 2024, страница 30, номер 85, Решение 6
Решение 7. №85 (с. 30)
Алгебра, 9 класс Учебник, авторы: Макарычев Юрий Николаевич, Миндюк Нора Григорьевна, Нешков Константин Иванович, Суворова Светлана Борисовна, издательство Просвещение, Москва, 2014 - 2024, страница 30, номер 85, Решение 7
Решение 8. №85 (с. 30)

а)

Для того чтобы найти значение дроби $\frac{36 - x^2}{6 - 7x + x^2}$, сначала упростим ее.

1. Разложим числитель на множители по формуле разности квадратов $a^2 - b^2 = (a-b)(a+b)$:
$36 - x^2 = 6^2 - x^2 = (6 - x)(6 + x)$.

2. Разложим знаменатель $x^2 - 7x + 6$ на множители. Для этого найдем корни уравнения $x^2 - 7x + 6 = 0$. По теореме Виета, сумма корней равна 7, а их произведение равно 6. Корни этого уравнения — $x_1 = 1$ и $x_2 = 6$.
Следовательно, $x^2 - 7x + 6 = (x - 1)(x - 6)$.

3. Перепишем дробь с разложенными числителем и знаменателем:
$\frac{(6 - x)(6 + x)}{(x - 1)(x - 6)}$.

4. Заметим, что $(6 - x) = -(x - 6)$. Сократим дробь на общий множитель $(x - 6)$, при условии что $x \neq 6$:
$\frac{-(x - 6)(x + 6)}{(x - 1)(x - 6)} = -\frac{x + 6}{x - 1} = \frac{x + 6}{1 - x}$.

Теперь подставим значения $x$ в полученное упрощенное выражение $\frac{x + 6}{1 - x}$.

При $x = -9$:
$\frac{-9 + 6}{1 - (-9)} = \frac{-3}{1 + 9} = \frac{-3}{10} = -0,3$.

При $x = -99$:
$\frac{-99 + 6}{1 - (-99)} = \frac{-93}{1 + 99} = \frac{-93}{100} = -0,93$.

При $x = -999$:
$\frac{-999 + 6}{1 - (-999)} = \frac{-993}{1 + 999} = \frac{-993}{1000} = -0,993$.

Ответ: при $x = -9$ значение дроби равно -0,3; при $x = -99$ значение дроби равно -0,93; при $x = -999$ значение дроби равно -0,993.

б)

Найдем значение дроби $\frac{4x^2 + 8x - 32}{4x^2 - 16}$. Сначала упростим выражение.

1. В числителе вынесем общий множитель 4 за скобки и разложим на множители получившийся квадратный трехчлен:
$4x^2 + 8x - 32 = 4(x^2 + 2x - 8)$.
Чтобы разложить $x^2 + 2x - 8$, найдем корни уравнения $x^2 + 2x - 8 = 0$. По теореме Виета, произведение корней равно -8, а сумма -2. Корни равны $x_1 = -4$ и $x_2 = 2$.
Тогда $x^2 + 2x - 8 = (x+4)(x-2)$.
Весь числитель равен $4(x + 4)(x - 2)$.

2. В знаменателе вынесем общий множитель 4 за скобки и применим формулу разности квадратов:
$4x^2 - 16 = 4(x^2 - 4) = 4(x - 2)(x + 2)$.

3. Перепишем дробь с разложенными числителем и знаменателем:
$\frac{4(x + 4)(x - 2)}{4(x - 2)(x + 2)}$.

4. Сократим общие множители 4 и $(x-2)$, при условии что $x \neq 2$:
$\frac{x + 4}{x + 2}$.

Теперь подставим значения $x$ в упрощенное выражение $\frac{x + 4}{x + 2}$.

При $x = -1$:
$\frac{-1 + 4}{-1 + 2} = \frac{3}{1} = 3$.

При $x = 5$:
$\frac{5 + 4}{5 + 2} = \frac{9}{7}$.

При $x = 10$:
$\frac{10 + 4}{10 + 2} = \frac{14}{12} = \frac{7}{6}$.

Ответ: при $x = -1$ значение дроби равно 3; при $x = 5$ значение дроби равно $\frac{9}{7}$; при $x = 10$ значение дроби равно $\frac{7}{6}$.

Помогло решение? Оставьте отзыв в комментариях ниже.

Присоединяйтесь к Телеграм-группе @top_gdz

Присоединиться

Мы подготовили для вас ответ c подробным объяснением домашего задания по алгебре за 9 класс, для упражнения номер 85 расположенного на странице 30 к учебнику 2014 - 2024 года издания для учащихся школ и гимназий.

Теперь на нашем сайте ГДЗ.ТОП вы всегда легко и бесплатно найдёте условие с правильным ответом на вопрос «Как решить ДЗ» и «Как сделать» задание по алгебре к упражнению №85 (с. 30), авторов: Макарычев (Юрий Николаевич), Миндюк (Нора Григорьевна), Нешков (Константин Иванович), Суворова (Светлана Борисовна), ФГОС (старый) учебного пособия издательства Просвещение.