Номер 258, страница 198 - гдз по алгебре 11 класс учебник Арефьева, Пирютко

Алгебра, 11 класс Учебник, авторы: Арефьева Ирина Глебовна, Пирютко Ольга Николаевна, издательство Народная асвета, Минск, 2020, бирюзового цвета

Авторы: Арефьева И. Г., Пирютко О. Н.

Тип: Учебник

Издательство: Народная асвета

Год издания: 2020 - 2026

Цвет обложки: бирюзовый, зелёный с графиком

ISBN: 978-985-03-3165-6

Популярные ГДЗ в 11 классе

Упражнения для итогового повторения. Выражения и их преобразования - номер 258, страница 198.

№258 (с. 198)
Условие. №258 (с. 198)
скриншот условия
Алгебра, 11 класс Учебник, авторы: Арефьева Ирина Глебовна, Пирютко Ольга Николаевна, издательство Народная асвета, Минск, 2020, бирюзового цвета, страница 198, номер 258, Условие

258. Найдите все корни уравнения:

a) $\log_4 x + \log_{16} x + \log_2 x = 7$;

б) $2\lg^2 x + 3 = \frac{5}{\log_x 10}$;

в) $\log_4 x - \log_x 16 - 1 = 0$;

г) $\log_{0,2} \sqrt{3x + 4} = \log_{0,2} x$;

д) $4^{\log_3 x} - 6 \cdot 2^{\log_3 x} + 8 = 0$;

е) $\log_3(10 - 3^x) = 2 - x$.

Решение. №258 (с. 198)
Алгебра, 11 класс Учебник, авторы: Арефьева Ирина Глебовна, Пирютко Ольга Николаевна, издательство Народная асвета, Минск, 2020, бирюзового цвета, страница 198, номер 258, Решение Алгебра, 11 класс Учебник, авторы: Арефьева Ирина Глебовна, Пирютко Ольга Николаевна, издательство Народная асвета, Минск, 2020, бирюзового цвета, страница 198, номер 258, Решение (продолжение 2)
Решение 2. №258 (с. 198)

а) $ \log_4 x + \log_{16} x + \log_2 x = 7 $

1. Найдем область допустимых значений (ОДЗ). Аргумент логарифма должен быть строго положительным, поэтому $x > 0$.

2. Приведем все логарифмы к одному основанию, например, к основанию 2, используя формулу перехода к новому основанию $ \log_b a = \frac{\log_c a}{\log_c b} $:

$ \log_4 x = \frac{\log_2 x}{\log_2 4} = \frac{\log_2 x}{2} $

$ \log_{16} x = \frac{\log_2 x}{\log_2 16} = \frac{\log_2 x}{4} $

3. Подставим преобразованные логарифмы в исходное уравнение:

$ \frac{\log_2 x}{2} + \frac{\log_2 x}{4} + \log_2 x = 7 $

4. Вынесем $ \log_2 x $ за скобки:

$ \log_2 x \left(\frac{1}{2} + \frac{1}{4} + 1\right) = 7 $

$ \log_2 x \left(\frac{2+1+4}{4}\right) = 7 $

$ \log_2 x \cdot \frac{7}{4} = 7 $

5. Решим полученное уравнение относительно $ \log_2 x $:

$ \log_2 x = 7 \cdot \frac{4}{7} $

$ \log_2 x = 4 $

6. Найдем $x$ по определению логарифма:

$ x = 2^4 $

$ x = 16 $

7. Проверим, удовлетворяет ли корень ОДЗ. $16 > 0$, следовательно, корень подходит.

Ответ: $16$.

б) $ 2\lg^2 x + 3 = \frac{5}{\log_x 10} $

1. ОДЗ: аргумент логарифма $x > 0$, основание логарифма $x > 0$ и $x \neq 1$. Итоговое ОДЗ: $x > 0, x \neq 1$.

2. Преобразуем правую часть уравнения, используя свойство $ \log_b a = \frac{1}{\log_a b} $:

$ \frac{5}{\log_x 10} = 5 \log_{10} x = 5\lg x $

3. Уравнение принимает вид:

$ 2\lg^2 x + 3 = 5\lg x $

$ 2\lg^2 x - 5\lg x + 3 = 0 $

4. Введем замену переменной. Пусть $ y = \lg x $. Тогда уравнение станет квадратным:

$ 2y^2 - 5y + 3 = 0 $

5. Решим квадратное уравнение. Дискриминант $ D = (-5)^2 - 4 \cdot 2 \cdot 3 = 25 - 24 = 1 $.

$ y_1 = \frac{5 - \sqrt{1}}{2 \cdot 2} = \frac{4}{4} = 1 $

$ y_2 = \frac{5 + \sqrt{1}}{2 \cdot 2} = \frac{6}{4} = \frac{3}{2} $

6. Выполним обратную замену:

Если $y_1 = 1$, то $ \lg x = 1 \implies x_1 = 10^1 = 10 $.

Если $y_2 = \frac{3}{2}$, то $ \lg x = \frac{3}{2} \implies x_2 = 10^{3/2} = 10\sqrt{10} $.

7. Оба корня $10$ и $10\sqrt{10}$ удовлетворяют ОДЗ ($x>0, x \neq 1$).

Ответ: $10; 10\sqrt{10}$.

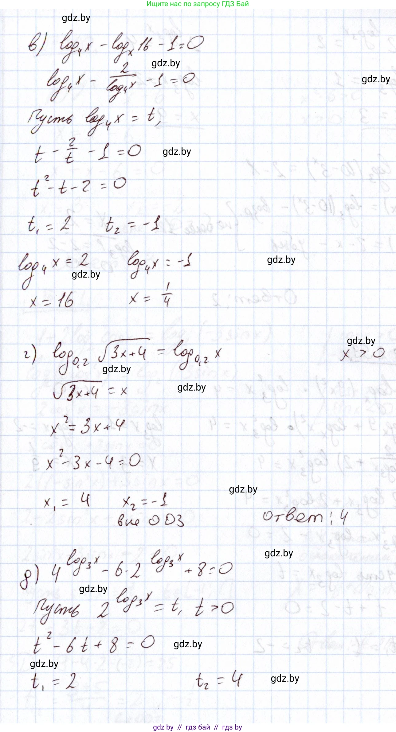
в) $ \log_4 x - \log_x 16 - 1 = 0 $

1. ОДЗ: $x > 0, x \neq 1$.

2. Преобразуем $ \log_x 16 $ к основанию 4:

$ \log_x 16 = \frac{\log_4 16}{\log_4 x} = \frac{2}{\log_4 x} $

3. Подставим в уравнение:

$ \log_4 x - \frac{2}{\log_4 x} - 1 = 0 $

4. Введем замену $ y = \log_4 x $. Так как $x \neq 1$, то $y \neq 0$.

$ y - \frac{2}{y} - 1 = 0 $

5. Умножим обе части на $y$:

$ y^2 - 2 - y = 0 $

$ y^2 - y - 2 = 0 $

6. Решим квадратное уравнение по теореме Виета. Сумма корней равна 1, произведение равно -2. Корни: $ y_1 = 2, y_2 = -1 $.

7. Выполним обратную замену:

Если $y_1 = 2$, то $ \log_4 x = 2 \implies x_1 = 4^2 = 16 $.

Если $y_2 = -1$, то $ \log_4 x = -1 \implies x_2 = 4^{-1} = \frac{1}{4} $.

8. Оба корня $16$ и $\frac{1}{4}$ удовлетворяют ОДЗ.

Ответ: $16; \frac{1}{4}$.

г) $ \log_{0.2} \sqrt{3x+4} = \log_{0.2} x $

1. ОДЗ определяется системой неравенств:

$ \begin{cases} 3x+4 > 0 \\ x > 0 \end{cases} \implies \begin{cases} x > -4/3 \\ x > 0 \end{cases} \implies x > 0 $

2. Так как основания логарифмов одинаковы, можем приравнять их аргументы:

$ \sqrt{3x+4} = x $

3. Для решения иррационального уравнения возведем обе части в квадрат. Это преобразование равносильно при условии, что правая часть неотрицательна: $x \ge 0$. Это условие выполняется в рамках ОДЗ.

$ 3x+4 = x^2 $

$ x^2 - 3x - 4 = 0 $

4. Решим квадратное уравнение по теореме Виета. Сумма корней равна 3, произведение равно -4. Корни: $ x_1 = 4, x_2 = -1 $.

5. Проверим корни по ОДЗ ($x>0$):

$ x_1 = 4 $ — удовлетворяет ОДЗ.

$ x_2 = -1 $ — не удовлетворяет ОДЗ, является посторонним корнем.

Ответ: $4$.

д) $ 4^{\log_3 x} - 6 \cdot 2^{\log_3 x} + 8 = 0 $

1. ОДЗ: $x > 0$.

2. Заметим, что $ 4^{\log_3 x} = (2^2)^{\log_3 x} = (2^{\log_3 x})^2 $. Уравнение является квадратным относительно $ 2^{\log_3 x} $.

3. Введем замену $ y = 2^{\log_3 x} $. Так как показательная функция всегда положительна, $y > 0$.

$ y^2 - 6y + 8 = 0 $

4. Решим квадратное уравнение по теореме Виета. Сумма корней равна 6, произведение равно 8. Корни: $ y_1 = 2, y_2 = 4 $.

5. Оба значения $y$ положительны. Выполним обратную замену:

Если $y_1 = 2$, то $ 2^{\log_3 x} = 2^1 \implies \log_3 x = 1 \implies x_1 = 3^1 = 3 $.

Если $y_2 = 4$, то $ 2^{\log_3 x} = 4 = 2^2 \implies \log_3 x = 2 \implies x_2 = 3^2 = 9 $.

6. Оба корня $3$ и $9$ удовлетворяют ОДЗ ($x > 0$).

Ответ: $3; 9$.

е) $ \log_3 (10 - 3^x) = 2 - x $

1. ОДЗ: аргумент логарифма должен быть положителен.

$ 10 - 3^x > 0 \implies 10 > 3^x \implies \log_3 10 > x $ (основание 3 > 1, знак не меняется).

2. Используем определение логарифма $ \log_b a = c \iff a = b^c $:

$ 10 - 3^x = 3^{2-x} $

$ 10 - 3^x = \frac{3^2}{3^x} = \frac{9}{3^x} $

3. Введем замену $ y = 3^x $. Так как показательная функция всегда положительна, $y>0$.

$ 10 - y = \frac{9}{y} $

4. Умножим обе части на $y$:

$ 10y - y^2 = 9 $

$ y^2 - 10y + 9 = 0 $

5. Решим квадратное уравнение по теореме Виета. Сумма корней равна 10, произведение равно 9. Корни: $ y_1 = 1, y_2 = 9 $.

6. Оба значения $y$ положительны. Выполним обратную замену:

Если $y_1 = 1$, то $ 3^x = 1 = 3^0 \implies x_1 = 0 $.

Если $y_2 = 9$, то $ 3^x = 9 = 3^2 \implies x_2 = 2 $.

7. Проверим корни по ОДЗ ($x < \log_3 10$).

Так как $3^2 = 9 < 10$, то $2 = \log_3 9 < \log_3 10$. Корень $x=2$ подходит.

Так как $\log_3 10 > 2$, то $0 < \log_3 10$. Корень $x=0$ подходит.

Ответ: $0; 2$.

Помогло решение? Оставьте отзыв в комментариях ниже.

Присоединяйтесь к Телеграм-группе @gdz_by_belarus

Присоединиться

Мы подготовили для вас ответ c подробным объяснением домашего задания по алгебре за 11 класс, для упражнения номер 258 расположенного на странице 198 к учебнику 2020 года издания для учащихся школ и гимназий.

Теперь на нашем сайте ГДЗ.ТОП вы всегда легко и бесплатно найдёте условие с правильным ответом на вопрос «Как решить ДЗ» и «Как сделать» задание по алгебре к упражнению №258 (с. 198), авторов: Арефьева (Ирина Глебовна), Пирютко (Ольга Николаевна), учебного пособия издательства Народная асвета.