Номер 263, страница 198 - гдз по алгебре 11 класс учебник Арефьева, Пирютко

Алгебра, 11 класс Учебник, авторы: Арефьева Ирина Глебовна, Пирютко Ольга Николаевна, издательство Народная асвета, Минск, 2020, бирюзового цвета

Авторы: Арефьева И. Г., Пирютко О. Н.

Тип: Учебник

Издательство: Народная асвета

Год издания: 2020 - 2026

Цвет обложки: бирюзовый, зелёный с графиком

ISBN: 978-985-03-3165-6

Популярные ГДЗ в 11 классе

Упражнения для итогового повторения. Выражения и их преобразования - номер 263, страница 198.

№263 (с. 198)
Условие. №263 (с. 198)
скриншот условия
Алгебра, 11 класс Учебник, авторы: Арефьева Ирина Глебовна, Пирютко Ольга Николаевна, издательство Народная асвета, Минск, 2020, бирюзового цвета, страница 198, номер 263, Условие

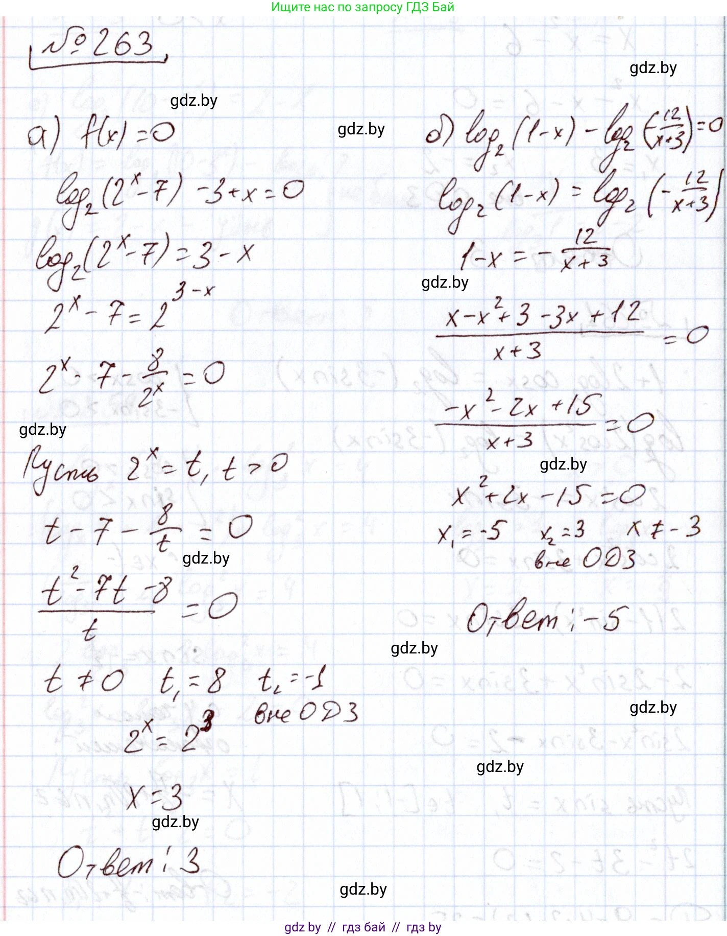
263. Найдите нули функции:

а) $f(x) = \log_{2}(2^x - 7) - 3 + x;$

б) $f(x) = \log_{2}(1 - x) - \log_{2}\left(-\frac{12}{x + 3}\right).$

Решение. №263 (с. 198)
Алгебра, 11 класс Учебник, авторы: Арефьева Ирина Глебовна, Пирютко Ольга Николаевна, издательство Народная асвета, Минск, 2020, бирюзового цвета, страница 198, номер 263, Решение
Решение 2. №263 (с. 198)

а) $f(x) = \log_2(2^x - 7) - 3 + x$

Нули функции — это значения аргумента $x$, при которых значение функции равно нулю. Приравняем функцию к нулю:

$f(x) = 0$

$\log_2(2^x - 7) - 3 + x = 0$

Прежде чем решать уравнение, найдем область допустимых значений (ОДЗ). Выражение под знаком логарифма должно быть строго положительным:

$2^x - 7 > 0$

$2^x > 7$

Прологарифмировав обе части по основанию 2, получаем:

$x > \log_2(7)$

Теперь решим само уравнение. Выразим логарифм:

$\log_2(2^x - 7) = 3 - x$

По определению логарифма ($ \log_b a = c \iff b^c = a $), получаем:

$2^x - 7 = 2^{3-x}$

Используя свойство степени $a^{m-n} = \frac{a^m}{a^n}$, преобразуем правую часть:

$2^x - 7 = \frac{2^3}{2^x}$

$2^x - 7 = \frac{8}{2^x}$

Для удобства введем замену переменной. Пусть $t = 2^x$. С учетом ОДЗ, $t > 7$. Уравнение примет вид:

$t - 7 = \frac{8}{t}$

Умножим обе части уравнения на $t$ (так как $t>7$, то $t \neq 0$):

$t(t-7) = 8$

$t^2 - 7t - 8 = 0$

Решим полученное квадратное уравнение. По теореме Виета, корни уравнения $t_1=8$ и $t_2=-1$.

Теперь проверим корни на соответствие условию $t > 7$:

  • $t_1 = 8$. Этот корень удовлетворяет условию $8 > 7$.
  • $t_2 = -1$. Этот корень не удовлетворяет условию $t > 7$. Кроме того, $2^x$ не может быть отрицательным.

Таким образом, единственное подходящее значение $t=8$. Сделаем обратную замену:

$2^x = 8$

$2^x = 2^3$

$x=3$

Проверим, входит ли найденный корень в ОДЗ: $x > \log_2(7)$.

Так как $3 = \log_2(8)$, а $8 > 7$, то неравенство $\log_2(8) > \log_2(7)$ верно. Значит, корень $x=3$ является решением.

Ответ: 3

б) $f(x) = \log_2(1 - x) - \log_2(-\frac{12}{x+3})$

Найдем нули функции, решив уравнение $f(x) = 0$:

$\log_2(1 - x) - \log_2(-\frac{12}{x+3}) = 0$

Найдем область допустимых значений (ОДЗ), для которой выражения под знаками логарифмов положительны:

$\begin{cases} 1 - x > 0 \\ -\frac{12}{x+3} > 0 \end{cases}$

Из первого неравенства получаем:

$x < 1$

Во втором неравенстве дробь положительна. Так как числитель $(-12)$ отрицателен, знаменатель также должен быть отрицательным:

$x + 3 < 0$

$x < -3$

Пересечение двух условий ($x < 1$ и $x < -3$) дает нам итоговую ОДЗ:

$x < -3$

Теперь решаем уравнение:

$\log_2(1 - x) = \log_2(-\frac{12}{x+3})$

Поскольку основания логарифмов одинаковы, мы можем приравнять их аргументы:

$1 - x = -\frac{12}{x+3}$

Умножим обе части на $(x+3)$, что является допустимым преобразованием в рамках ОДЗ ($x \ne -3$):

$(1 - x)(x + 3) = -12$

Раскроем скобки в левой части:

$x + 3 - x^2 - 3x = -12$

$-x^2 - 2x + 3 = -12$

Приведем к стандартному виду квадратного уравнения:

$-x^2 - 2x + 15 = 0$

Умножим обе части на $-1$ для удобства:

$x^2 + 2x - 15 = 0$

Решим это уравнение. По теореме Виета, сумма корней равна $-2$, а их произведение равно $-15$. Корни:

$x_1 = -5$ и $x_2 = 3$

Проверим, принадлежат ли найденные корни ОДЗ ($x < -3$):

  • $x_1 = -5$. Условие $-5 < -3$ выполняется. Этот корень подходит.
  • $x_2 = 3$. Условие $3 < -3$ не выполняется. Этот корень является посторонним.

Следовательно, функция имеет один нуль.

Ответ: -5

Помогло решение? Оставьте отзыв в комментариях ниже.

Присоединяйтесь к Телеграм-группе @gdz_by_belarus

Присоединиться

Мы подготовили для вас ответ c подробным объяснением домашего задания по алгебре за 11 класс, для упражнения номер 263 расположенного на странице 198 к учебнику 2020 года издания для учащихся школ и гимназий.

Теперь на нашем сайте ГДЗ.ТОП вы всегда легко и бесплатно найдёте условие с правильным ответом на вопрос «Как решить ДЗ» и «Как сделать» задание по алгебре к упражнению №263 (с. 198), авторов: Арефьева (Ирина Глебовна), Пирютко (Ольга Николаевна), учебного пособия издательства Народная асвета.