Номер 264, страница 198 - гдз по алгебре 11 класс учебник Арефьева, Пирютко

Алгебра, 11 класс Учебник, авторы: Арефьева Ирина Глебовна, Пирютко Ольга Николаевна, издательство Народная асвета, Минск, 2020, бирюзового цвета

Авторы: Арефьева И. Г., Пирютко О. Н.

Тип: Учебник

Издательство: Народная асвета

Год издания: 2020 - 2026

Цвет обложки: бирюзовый, зелёный с графиком

ISBN: 978-985-03-3165-6

Популярные ГДЗ в 11 классе

Упражнения для итогового повторения. Выражения и их преобразования - номер 264, страница 198.

№264 (с. 198)
Условие. №264 (с. 198)
скриншот условия
Алгебра, 11 класс Учебник, авторы: Арефьева Ирина Глебовна, Пирютко Ольга Николаевна, издательство Народная асвета, Минск, 2020, бирюзового цвета, страница 198, номер 264, Условие

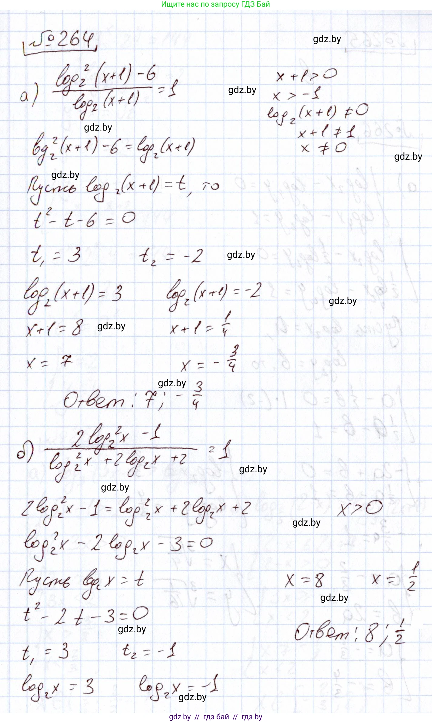
264. Решите уравнение:

a) $\frac{\log_2^2(x+1)-6}{\log_2(x+1)}=1;$

б) $\frac{2\log_2^2 x-1}{\log_2^2 x+2\log_2 x+2}=1.$

Решение. №264 (с. 198)
Алгебра, 11 класс Учебник, авторы: Арефьева Ирина Глебовна, Пирютко Ольга Николаевна, издательство Народная асвета, Минск, 2020, бирюзового цвета, страница 198, номер 264, Решение
Решение 2. №264 (с. 198)

а) $\frac{\log_2^2(x+1) - 6}{\log_2(x+1)} = 1$

Найдем область допустимых значений (ОДЗ). Аргумент логарифма должен быть строго больше нуля, а знаменатель дроби не должен быть равен нулю.

$\begin{cases} x+1 > 0 \\ \log_2(x+1) \neq 0 \end{cases} \Rightarrow \begin{cases} x > -1 \\ x+1 \neq 2^0 \end{cases} \Rightarrow \begin{cases} x > -1 \\ x+1 \neq 1 \end{cases} \Rightarrow \begin{cases} x > -1 \\ x \neq 0 \end{cases}$

Таким образом, ОДЗ: $x \in (-1; 0) \cup (0; +\infty)$.

Сделаем замену переменной. Пусть $t = \log_2(x+1)$. Тогда уравнение примет вид:

$\frac{t^2 - 6}{t} = 1$

Учитывая, что $t \neq 0$, умножим обе части уравнения на $t$:

$t^2 - 6 = t$

Перенесем все члены в левую часть, чтобы получить квадратное уравнение:

$t^2 - t - 6 = 0$

Решим это уравнение с помощью теоремы Виета. Сумма корней равна 1, а их произведение равно -6. Следовательно, корни уравнения:

$t_1 = 3$ и $t_2 = -2$.

Теперь выполним обратную замену для каждого найденного значения $t$.

1) При $t = 3$:

$\log_2(x+1) = 3$

$x+1 = 2^3$

$x+1 = 8$

$x = 7$

2) При $t = -2$:

$\log_2(x+1) = -2$

$x+1 = 2^{-2}$

$x+1 = \frac{1}{4}$

$x = \frac{1}{4} - 1 = -\frac{3}{4}$

Оба найденных корня, $x = 7$ и $x = -3/4$, принадлежат области допустимых значений.

Ответ: $x_1 = -3/4, x_2 = 7$.

б) $\frac{2\log_2^2 x - 1}{\log_2^2 x + 2\log_2 x + 2} = 1$

Найдем область допустимых значений (ОДЗ). Аргумент логарифма должен быть строго больше нуля, а знаменатель дроби не должен быть равен нулю.

$x > 0$.

Проверим знаменатель $\log_2^2 x + 2\log_2 x + 2$ на равенство нулю. Для этого введем временную замену $t = \log_2 x$ и рассмотрим квадратный трехчлен $t^2 + 2t + 2$. Найдем его дискриминант:

$D = 2^2 - 4 \cdot 1 \cdot 2 = 4 - 8 = -4$.

Так как дискриминант отрицательный ($D < 0$) и коэффициент при $t^2$ положительный ($a=1>0$), то выражение $t^2 + 2t + 2$ всегда принимает положительные значения. Следовательно, знаменатель дроби никогда не равен нулю.

Таким образом, ОДЗ уравнения: $x > 0$.

Введем замену переменной $t = \log_2 x$. Уравнение преобразуется к виду:

$\frac{2t^2 - 1}{t^2 + 2t + 2} = 1$

Умножим обе части на знаменатель:

$2t^2 - 1 = t^2 + 2t + 2$

Перенесем все члены в левую часть и приведем подобные слагаемые:

$2t^2 - t^2 - 2t - 1 - 2 = 0$

$t^2 - 2t - 3 = 0$

Решим полученное квадратное уравнение. По теореме Виета, сумма корней равна 2, а их произведение равно -3. Корни уравнения:

$t_1 = 3$ и $t_2 = -1$.

Выполним обратную замену.

1) При $t = 3$:

$\log_2 x = 3$

$x = 2^3$

$x = 8$

2) При $t = -1$:

$\log_2 x = -1$

$x = 2^{-1}$

$x = \frac{1}{2}$

Оба корня, $x = 8$ и $x = 1/2$, удовлетворяют ОДЗ ($x > 0$).

Ответ: $x_1 = 1/2, x_2 = 8$.

Помогло решение? Оставьте отзыв в комментариях ниже.

Присоединяйтесь к Телеграм-группе @gdz_by_belarus

Присоединиться

Мы подготовили для вас ответ c подробным объяснением домашего задания по алгебре за 11 класс, для упражнения номер 264 расположенного на странице 198 к учебнику 2020 года издания для учащихся школ и гимназий.

Теперь на нашем сайте ГДЗ.ТОП вы всегда легко и бесплатно найдёте условие с правильным ответом на вопрос «Как решить ДЗ» и «Как сделать» задание по алгебре к упражнению №264 (с. 198), авторов: Арефьева (Ирина Глебовна), Пирютко (Ольга Николаевна), учебного пособия издательства Народная асвета.