Номер 259, страница 198 - гдз по алгебре 11 класс учебник Арефьева, Пирютко

Алгебра, 11 класс Учебник, авторы: Арефьева Ирина Глебовна, Пирютко Ольга Николаевна, издательство Народная асвета, Минск, 2020, бирюзового цвета

Авторы: Арефьева И. Г., Пирютко О. Н.

Тип: Учебник

Издательство: Народная асвета

Год издания: 2020 - 2026

Цвет обложки: бирюзовый, зелёный с графиком

ISBN: 978-985-03-3165-6

Популярные ГДЗ в 11 классе

Упражнения для итогового повторения. Выражения и их преобразования - номер 259, страница 198.

№259 (с. 198)
Условие. №259 (с. 198)
скриншот условия
Алгебра, 11 класс Учебник, авторы: Арефьева Ирина Глебовна, Пирютко Ольга Николаевна, издательство Народная асвета, Минск, 2020, бирюзового цвета, страница 198, номер 259, Условие

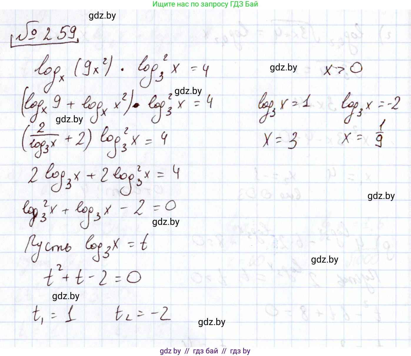
259. Решите уравнение $\log_x (9x^2) \cdot \log_3^2 x = 4.$

Решение. №259 (с. 198)
Алгебра, 11 класс Учебник, авторы: Арефьева Ирина Глебовна, Пирютко Ольга Николаевна, издательство Народная асвета, Минск, 2020, бирюзового цвета, страница 198, номер 259, Решение
Решение 2. №259 (с. 198)

Исходное уравнение: $\log_x{(9x^2)} \cdot \log_3^2{x} = 4$.

Сначала определим область допустимых значений (ОДЗ). Основание логарифма должно быть больше нуля и не равно единице, а аргумент логарифма должен быть строго больше нуля.
1. $x > 0$
2. $x \ne 1$
3. $9x^2 > 0$, что выполняется при $x \ne 0$.
Объединяя все условия, получаем ОДЗ: $x > 0$ и $x \ne 1$.

Преобразуем первый множитель, используя свойства логарифмов $\log_a(bc) = \log_a b + \log_a c$ и $\log_a(b^k) = k \log_a b$:
$\log_x(9x^2) = \log_x(9) + \log_x(x^2) = \log_x(3^2) + 2\log_x(x) = 2\log_x(3) + 2 \cdot 1 = 2\log_x(3) + 2$.

Подставим полученное выражение в исходное уравнение:
$(2\log_x{3} + 2) \cdot \log_3^2{x} = 4$.

Приведем все логарифмы к одному основанию 3, используя формулу перехода к новому основанию $\log_a b = \frac{1}{\log_b a}$:
$\log_x{3} = \frac{1}{\log_3{x}}$.

Уравнение примет вид:
$(2 \cdot \frac{1}{\log_3{x}} + 2) \cdot \log_3^2{x} = 4$.

Сделаем замену переменной. Пусть $t = \log_3{x}$. Так как $x \ne 1$, то $t \ne \log_3{1}$, следовательно, $t \ne 0$.
Подставляем $t$ в уравнение:
$(\frac{2}{t} + 2) \cdot t^2 = 4$.

Решим полученное уравнение относительно $t$:
$\frac{2}{t} \cdot t^2 + 2 \cdot t^2 = 4$
$2t + 2t^2 = 4$
$2t^2 + 2t - 4 = 0$
Разделим обе части уравнения на 2:
$t^2 + t - 2 = 0$.

Это квадратное уравнение. Найдем его корни, например, по теореме Виета. Произведение корней равно -2, а сумма равна -1.
$t_1 = 1$
$t_2 = -2$
Оба корня удовлетворяют условию $t \ne 0$.

Выполним обратную замену:
1) Если $t = 1$, то $\log_3{x} = 1$, откуда $x = 3^1 = 3$.
2) Если $t = -2$, то $\log_3{x} = -2$, откуда $x = 3^{-2} = \frac{1}{3^2} = \frac{1}{9}$.

Оба найденных значения $x = 3$ и $x = \frac{1}{9}$ удовлетворяют ОДЗ ($x>0, x \ne 1$).

Ответ: $3; \frac{1}{9}$.

Помогло решение? Оставьте отзыв в комментариях ниже.

Присоединяйтесь к Телеграм-группе @gdz_by_belarus

Присоединиться

Мы подготовили для вас ответ c подробным объяснением домашего задания по алгебре за 11 класс, для упражнения номер 259 расположенного на странице 198 к учебнику 2020 года издания для учащихся школ и гимназий.

Теперь на нашем сайте ГДЗ.ТОП вы всегда легко и бесплатно найдёте условие с правильным ответом на вопрос «Как решить ДЗ» и «Как сделать» задание по алгебре к упражнению №259 (с. 198), авторов: Арефьева (Ирина Глебовна), Пирютко (Ольга Николаевна), учебного пособия издательства Народная асвета.