Номер 305, страница 299 - гдз по алгебре 9 класс учебник Арефьева, Пирютко

Алгебра, 9 класс Учебник, авторы: Арефьева Ирина Глебовна, Пирютко Ольга Николаевна, издательство Народная асвета, Минск, 2019, голубого цвета

Авторы: Арефьева И. Г., Пирютко О. Н.

Тип: Учебник

Издательство: Народная асвета

Год издания: 2019 - 2026

Цвет обложки: голубой, синий с графиком

ISBN: 978-985-03-3077-2

Допущено Министерством образования Республики Беларусь

Популярные ГДЗ в 9 классе

Итоговое повторение. Текстовые задачи - номер 305, страница 299.

№305 (с. 299)
Условие. №305 (с. 299)
скриншот условия
Алгебра, 9 класс Учебник, авторы: Арефьева Ирина Глебовна, Пирютко Ольга Николаевна, издательство Народная асвета, Минск, 2019, голубого цвета, страница 299, номер 305, Условие

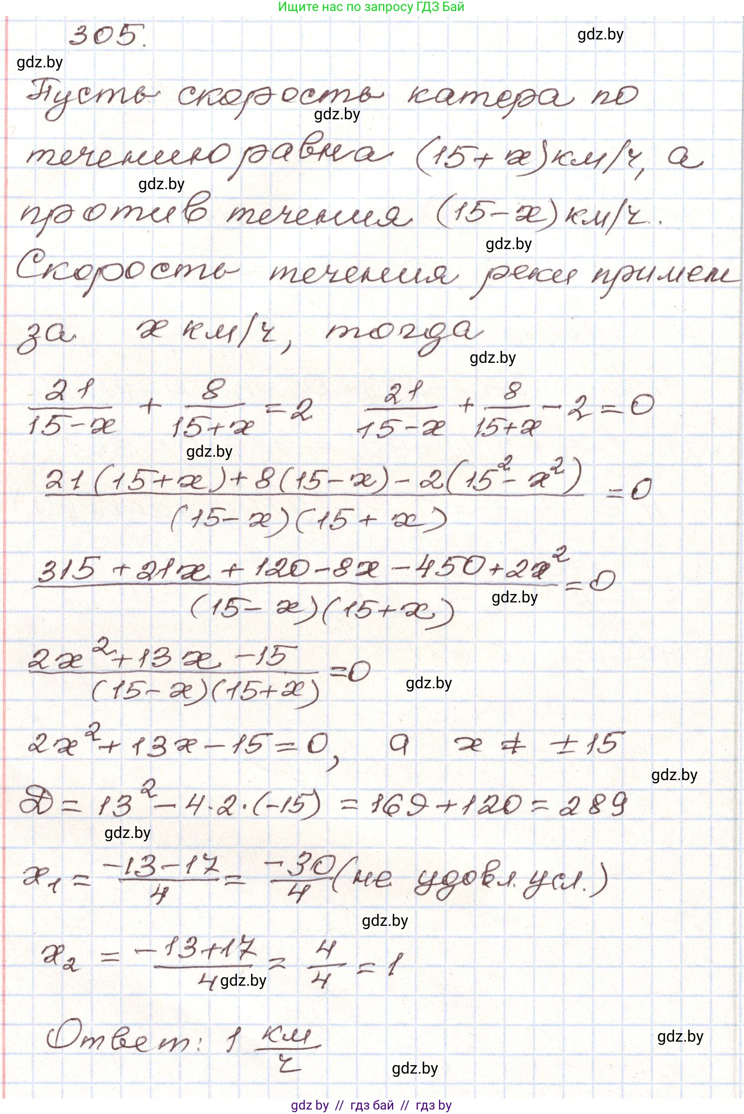
305. При патрулировании катер инспекторов природоохраны прошел 21 км против течения реки и 8 км по течению, затратив на весь путь 2 ч. Найдите скорость течения реки, если собственная скорость катера составляет $15 \frac{\text{км}}{\text{ч}}$.

Решение. №305 (с. 299)
Алгебра, 9 класс Учебник, авторы: Арефьева Ирина Глебовна, Пирютко Ольга Николаевна, издательство Народная асвета, Минск, 2019, голубого цвета, страница 299, номер 305, Решение
Решение 2. №305 (с. 299)

Пусть скорость течения реки равна $x$ км/ч. Собственная скорость катера составляет $15$ км/ч.

Тогда скорость катера по течению реки будет $(15 + x)$ км/ч, а скорость против течения — $(15 - x)$ км/ч.

Катер прошел 21 км против течения, затратив на это время $t_1 = \frac{21}{15 - x}$ часов.

Катер прошел 8 км по течению, затратив на это время $t_2 = \frac{8}{15 + x}$ часов.

Общее время, затраченное на весь путь, составляет 2 часа. Можем составить уравнение:

$t_1 + t_2 = 2$

$\frac{21}{15 - x} + \frac{8}{15 + x} = 2$

Определим область допустимых значений для $x$. Скорость течения должна быть положительной ($x > 0$), и скорость катера против течения также должна быть положительной ($15 - x > 0$, что означает $x < 15$). Таким образом, $0 < x < 15$.

Приведем левую часть уравнения к общему знаменателю:

$\frac{21(15 + x) + 8(15 - x)}{(15 - x)(15 + x)} = 2$

$\frac{315 + 21x + 120 - 8x}{15^2 - x^2} = 2$

$\frac{435 + 13x}{225 - x^2} = 2$

Теперь умножим обе части на знаменатель $(225 - x^2)$:

$435 + 13x = 2(225 - x^2)$

$435 + 13x = 450 - 2x^2$

Перенесем все слагаемые в одну сторону, чтобы получить стандартное квадратное уравнение:

$2x^2 + 13x + 435 - 450 = 0$

$2x^2 + 13x - 15 = 0$

Для решения этого уравнения найдем дискриминант $D = b^2 - 4ac$:

$D = 13^2 - 4 \cdot 2 \cdot (-15) = 169 + 120 = 289$

Найдем корни уравнения по формуле $x = \frac{-b \pm \sqrt{D}}{2a}$:

$x_1 = \frac{-13 + \sqrt{289}}{2 \cdot 2} = \frac{-13 + 17}{4} = \frac{4}{4} = 1$

$x_2 = \frac{-13 - \sqrt{289}}{2 \cdot 2} = \frac{-13 - 17}{4} = \frac{-30}{4} = -7.5$

Корень $x_2 = -7.5$ не является решением, так как скорость течения не может быть отрицательной. Корень $x_1 = 1$ удовлетворяет условию $0 < x < 15$.

Таким образом, скорость течения реки составляет 1 км/ч.

Ответ: 1.

Помогло решение? Оставьте отзыв в комментариях ниже.

Присоединяйтесь к Телеграм-группе @gdz_by_belarus

Присоединиться

Мы подготовили для вас ответ c подробным объяснением домашего задания по алгебре за 9 класс, для упражнения номер 305 расположенного на странице 299 к учебнику 2019 года издания для учащихся школ и гимназий.

Теперь на нашем сайте ГДЗ.ТОП вы всегда легко и бесплатно найдёте условие с правильным ответом на вопрос «Как решить ДЗ» и «Как сделать» задание по алгебре к упражнению №305 (с. 299), авторов: Арефьева (Ирина Глебовна), Пирютко (Ольга Николаевна), учебного пособия издательства Народная асвета.