Номер 308, страница 299 - гдз по алгебре 9 класс учебник Арефьева, Пирютко

Алгебра, 9 класс Учебник, авторы: Арефьева Ирина Глебовна, Пирютко Ольга Николаевна, издательство Народная асвета, Минск, 2019, голубого цвета

Авторы: Арефьева И. Г., Пирютко О. Н.

Тип: Учебник

Издательство: Народная асвета

Год издания: 2019 - 2026

Цвет обложки: голубой, синий с графиком

ISBN: 978-985-03-3077-2

Допущено Министерством образования Республики Беларусь

Популярные ГДЗ в 9 классе

Итоговое повторение. Текстовые задачи - номер 308, страница 299.

№308 (с. 299)
Условие. №308 (с. 299)
скриншот условия
Алгебра, 9 класс Учебник, авторы: Арефьева Ирина Глебовна, Пирютко Ольга Николаевна, издательство Народная асвета, Минск, 2019, голубого цвета, страница 299, номер 308, Условие

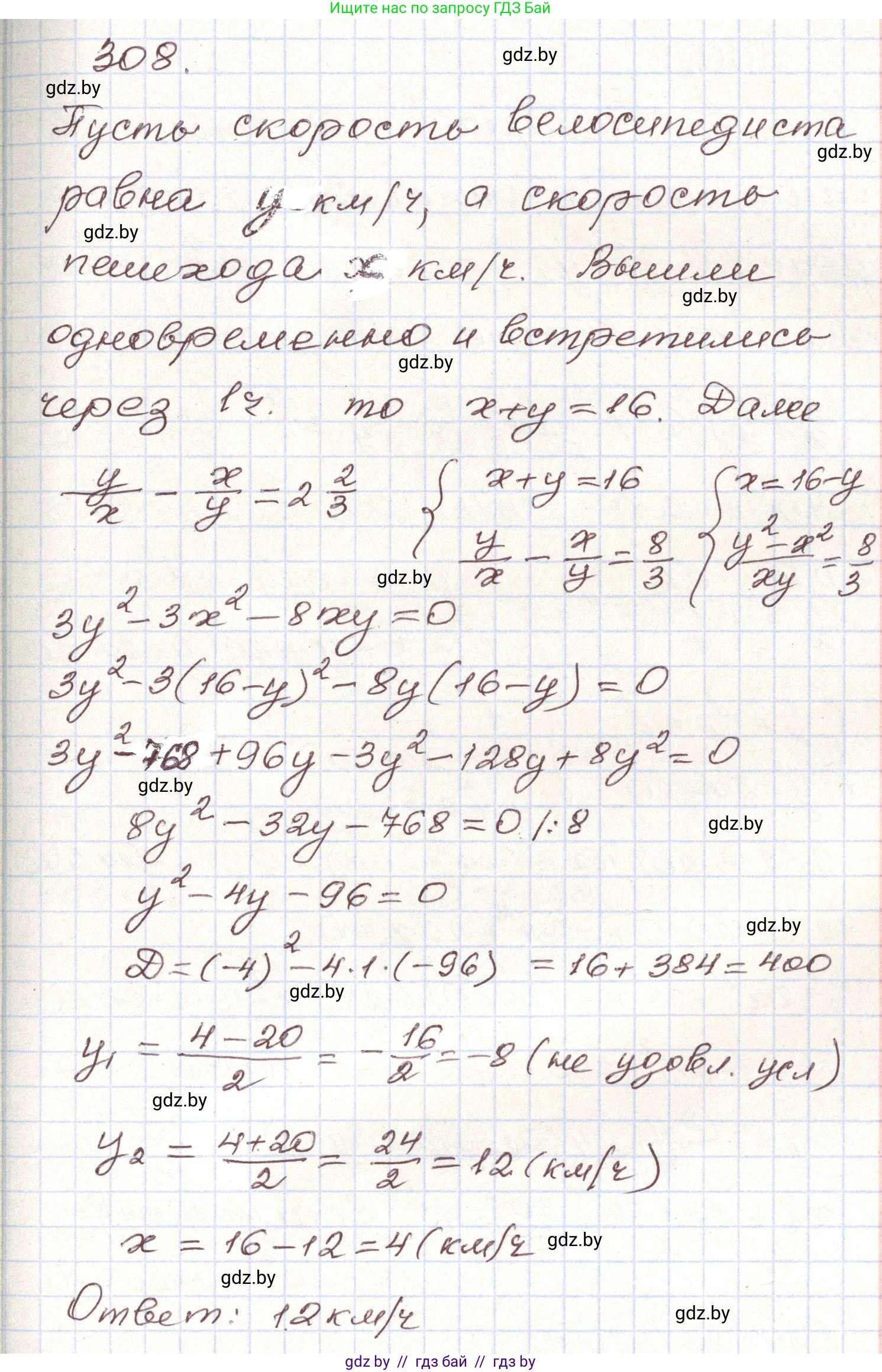
308. Протяженность шоссе между пунктами А и В составляет 16 км. Из пункта А в пункт В выехал велосипедист. Одновременно с велосипедистом навстречу ему из пункта В вышел пешеход. Они встретились через 1 ч. Найдите скорость велосипедиста, если пешеход прибыл в пункт А на $2 \frac{2}{3}$ ч позже, чем велосипедист в пункт В.

Решение. №308 (с. 299)
Алгебра, 9 класс Учебник, авторы: Арефьева Ирина Глебовна, Пирютко Ольга Николаевна, издательство Народная асвета, Минск, 2019, голубого цвета, страница 299, номер 308, Решение
Решение 2. №308 (с. 299)

Для решения задачи введем переменные и составим систему уравнений. Пусть $v_в$ — скорость велосипедиста в км/ч, а $v_п$ — скорость пешехода в км/ч.

1. Составление первого уравнения.
Велосипедист и пешеход двигались навстречу друг другу из пунктов А и В, расстояние между которыми 16 км. Они встретились через 1 час. Их общая скорость (скорость сближения) равна сумме их скоростей: $v_в + v_п$.
За 1 час они вместе преодолели 16 км, следовательно:
$(v_в + v_п) \cdot 1 = 16$
$v_в + v_п = 16$
Из этого уравнения выразим скорость пешехода: $v_п = 16 - v_в$.

2. Составление второго уравнения.
Время, которое велосипедист затратил на весь путь из А в В, равно $t_в = \frac{16}{v_в}$ ч.
Время, которое пешеход затратил на весь путь из В в А, равно $t_п = \frac{16}{v_п}$ ч.
По условию, пешеход прибыл в пункт А на $2\frac{2}{3}$ ч позже велосипедиста. Переведем $2\frac{2}{3}$ в неправильную дробь: $2\frac{2}{3} = \frac{8}{3}$.
Таким образом, разница во времени составляет:
$t_п - t_в = \frac{8}{3}$
Подставим выражения для времени:
$\frac{16}{v_п} - \frac{16}{v_в} = \frac{8}{3}$

3. Решение системы уравнений.
Подставим выражение $v_п = 16 - v_в$ из первого уравнения во второе:
$\frac{16}{16 - v_в} - \frac{16}{v_в} = \frac{8}{3}$

Для упрощения разделим обе части уравнения на 8:
$\frac{2}{16 - v_в} - \frac{2}{v_в} = \frac{1}{3}$

Приведем левую часть к общему знаменателю $v_в(16 - v_в)$:
$\frac{2v_в - 2(16 - v_в)}{v_в(16 - v_в)} = \frac{1}{3}$
$\frac{2v_в - 32 + 2v_в}{16v_в - v_в^2} = \frac{1}{3}$
$\frac{4v_в - 32}{16v_в - v_в^2} = \frac{1}{3}$

Используем правило пропорции (перекрестное умножение):
$3(4v_в - 32) = 1(16v_в - v_в^2)$
$12v_в - 96 = 16v_в - v_в^2$

Перенесем все члены в левую часть, чтобы получить квадратное уравнение:
$v_в^2 + 12v_в - 16v_в - 96 = 0$
$v_в^2 - 4v_в - 96 = 0$

4. Решение квадратного уравнения.
Решим уравнение с помощью дискриминанта $D = b^2 - 4ac$:
$D = (-4)^2 - 4 \cdot 1 \cdot (-96) = 16 + 384 = 400$
$\sqrt{D} = 20$
Найдем корни уравнения:
$v_{в1} = \frac{-(-4) + 20}{2 \cdot 1} = \frac{4 + 20}{2} = \frac{24}{2} = 12$
$v_{в2} = \frac{-(-4) - 20}{2 \cdot 1} = \frac{4 - 20}{2} = \frac{-16}{2} = -8$

Скорость не может быть отрицательной, поэтому корень -8 не является решением задачи. Следовательно, скорость велосипедиста составляет 12 км/ч.

Найдите скорость велосипедиста: Ответ: 12 км/ч.

Помогло решение? Оставьте отзыв в комментариях ниже.

Присоединяйтесь к Телеграм-группе @gdz_by_belarus

Присоединиться

Мы подготовили для вас ответ c подробным объяснением домашего задания по алгебре за 9 класс, для упражнения номер 308 расположенного на странице 299 к учебнику 2019 года издания для учащихся школ и гимназий.

Теперь на нашем сайте ГДЗ.ТОП вы всегда легко и бесплатно найдёте условие с правильным ответом на вопрос «Как решить ДЗ» и «Как сделать» задание по алгебре к упражнению №308 (с. 299), авторов: Арефьева (Ирина Глебовна), Пирютко (Ольга Николаевна), учебного пособия издательства Народная асвета.