Номер 306, страница 299 - гдз по алгебре 9 класс учебник Арефьева, Пирютко

Алгебра, 9 класс Учебник, авторы: Арефьева Ирина Глебовна, Пирютко Ольга Николаевна, издательство Народная асвета, Минск, 2019, голубого цвета

Авторы: Арефьева И. Г., Пирютко О. Н.

Тип: Учебник

Издательство: Народная асвета

Год издания: 2019 - 2026

Цвет обложки: голубой, синий с графиком

ISBN: 978-985-03-3077-2

Допущено Министерством образования Республики Беларусь

Популярные ГДЗ в 9 классе

Итоговое повторение. Текстовые задачи - номер 306, страница 299.

№306 (с. 299)
Условие. №306 (с. 299)
скриншот условия
Алгебра, 9 класс Учебник, авторы: Арефьева Ирина Глебовна, Пирютко Ольга Николаевна, издательство Народная асвета, Минск, 2019, голубого цвета, страница 299, номер 306, Условие

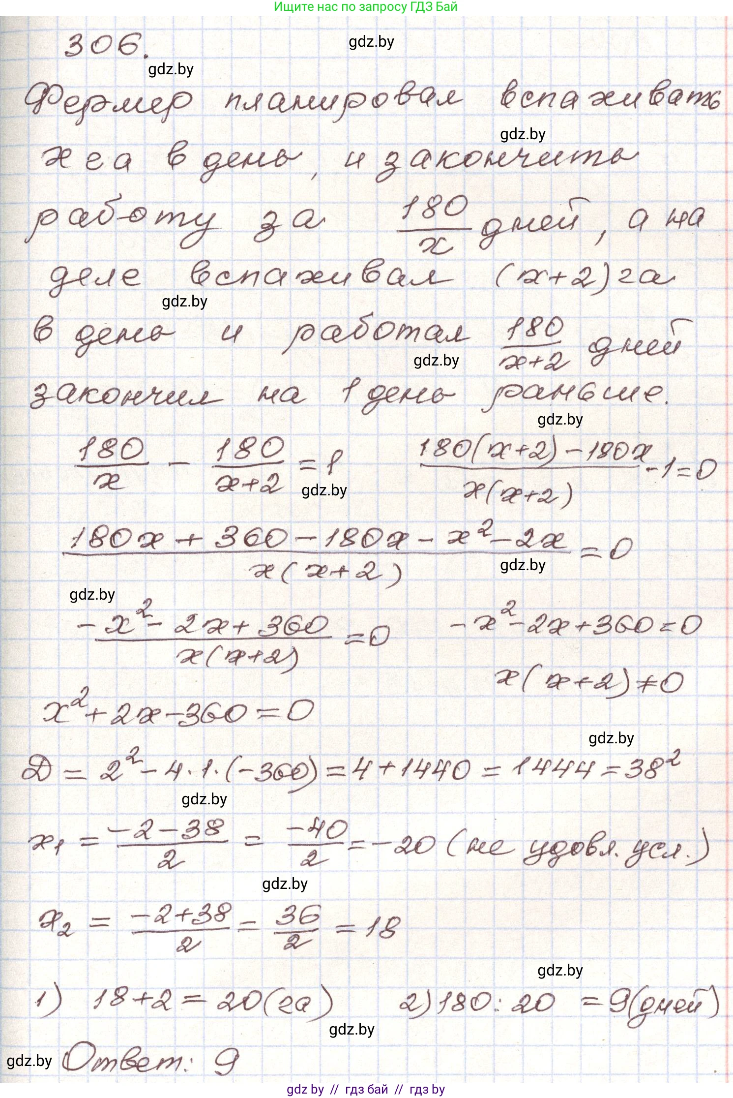
306. Фермеру необходимо было за определенное время вспахать поле площадью 180 га. Поскольку прогноз погоды был неблагоприятным, то ежедневно он вспахивал на 2 га больше, чем планировал, и закончил работу на 1 день раньше срока. За сколько дней фермер вспахал поле?

Решение. №306 (с. 299)
Алгебра, 9 класс Учебник, авторы: Арефьева Ирина Глебовна, Пирютко Ольга Николаевна, издательство Народная асвета, Минск, 2019, голубого цвета, страница 299, номер 306, Решение
Решение 2. №306 (с. 299)

Для решения этой задачи введем переменные. Пусть $t$ – это количество дней, за которое фермер планировал вспахать поле, а $x$ – количество гектаров, которое он планировал вспахивать ежедневно.

Исходя из условия, что общая площадь поля составляет 180 га, можно составить первое уравнение:

$x \cdot t = 180$

Поскольку прогноз погоды был неблагоприятным, фермер решил работать быстрее. Он вспахивал ежедневно на 2 га больше, чем планировал, то есть его фактическая производительность составила $(x + 2)$ га/день. В результате он закончил работу на 1 день раньше срока, то есть фактическое время работы составило $(t - 1)$ дней. Это позволяет нам составить второе уравнение:

$(x + 2) \cdot (t - 1) = 180$

Мы получили систему из двух уравнений с двумя неизвестными:

$ \begin{cases} xt = 180 \\ (x+2)(t-1) = 180 \end{cases} $

Из первого уравнения выразим $x$ через $t$:

$x = \frac{180}{t}$

Теперь подставим это выражение во второе уравнение:

$(\frac{180}{t} + 2)(t - 1) = 180$

Раскроем скобки и решим полученное уравнение относительно $t$:

$\frac{180}{t} \cdot t - \frac{180}{t} \cdot 1 + 2 \cdot t - 2 \cdot 1 = 180$

$180 - \frac{180}{t} + 2t - 2 = 180$

Вычтем 180 из обеих частей уравнения:

$-\frac{180}{t} + 2t - 2 = 0$

Умножим все уравнение на $t$ (поскольку $t$ - это количество дней, $t \neq 0$):

$-180 + 2t^2 - 2t = 0$

Расположим члены уравнения в стандартном порядке для квадратного уравнения и разделим на 2 для упрощения:

$2t^2 - 2t - 180 = 0 \quad | : 2$

$t^2 - t - 90 = 0$

Решим это квадратное уравнение с помощью дискриминанта $D = b^2 - 4ac$:

$D = (-1)^2 - 4 \cdot 1 \cdot (-90) = 1 + 360 = 361$

Найдем корни уравнения:

$t_1 = \frac{-(-1) + \sqrt{361}}{2 \cdot 1} = \frac{1 + 19}{2} = \frac{20}{2} = 10$

$t_2 = \frac{-(-1) - \sqrt{361}}{2 \cdot 1} = \frac{1 - 19}{2} = \frac{-18}{2} = -9$

Поскольку время не может быть отрицательной величиной, корень $t_2 = -9$ не подходит по смыслу задачи. Следовательно, планируемое время работы $t = 10$ дней.

В задаче спрашивается, за сколько дней фермер вспахал поле фактически. Фактическое время работы было на 1 день меньше запланированного:

$t_{факт} = t - 1 = 10 - 1 = 9$ дней.

За сколько дней фермер вспахал поле? Ответ: 9

Помогло решение? Оставьте отзыв в комментариях ниже.

Присоединяйтесь к Телеграм-группе @gdz_by_belarus

Присоединиться

Мы подготовили для вас ответ c подробным объяснением домашего задания по алгебре за 9 класс, для упражнения номер 306 расположенного на странице 299 к учебнику 2019 года издания для учащихся школ и гимназий.

Теперь на нашем сайте ГДЗ.ТОП вы всегда легко и бесплатно найдёте условие с правильным ответом на вопрос «Как решить ДЗ» и «Как сделать» задание по алгебре к упражнению №306 (с. 299), авторов: Арефьева (Ирина Глебовна), Пирютко (Ольга Николаевна), учебного пособия издательства Народная асвета.