Номер 307, страница 299 - гдз по алгебре 9 класс учебник Арефьева, Пирютко

Алгебра, 9 класс Учебник, авторы: Арефьева Ирина Глебовна, Пирютко Ольга Николаевна, издательство Народная асвета, Минск, 2019, голубого цвета

Авторы: Арефьева И. Г., Пирютко О. Н.

Тип: Учебник

Издательство: Народная асвета

Год издания: 2019 - 2026

Цвет обложки: голубой, синий с графиком

ISBN: 978-985-03-3077-2

Допущено Министерством образования Республики Беларусь

Популярные ГДЗ в 9 классе

Итоговое повторение. Текстовые задачи - номер 307, страница 299.

№307 (с. 299)
Условие. №307 (с. 299)
скриншот условия
Алгебра, 9 класс Учебник, авторы: Арефьева Ирина Глебовна, Пирютко Ольга Николаевна, издательство Народная асвета, Минск, 2019, голубого цвета, страница 299, номер 307, Условие

307. Произведение двух натуральных чисел равно 165, а их разность равна 4. Найдите эти числа.

Решение. №307 (с. 299)
Алгебра, 9 класс Учебник, авторы: Арефьева Ирина Глебовна, Пирютко Ольга Николаевна, издательство Народная асвета, Минск, 2019, голубого цвета, страница 299, номер 307, Решение
Решение 2. №307 (с. 299)

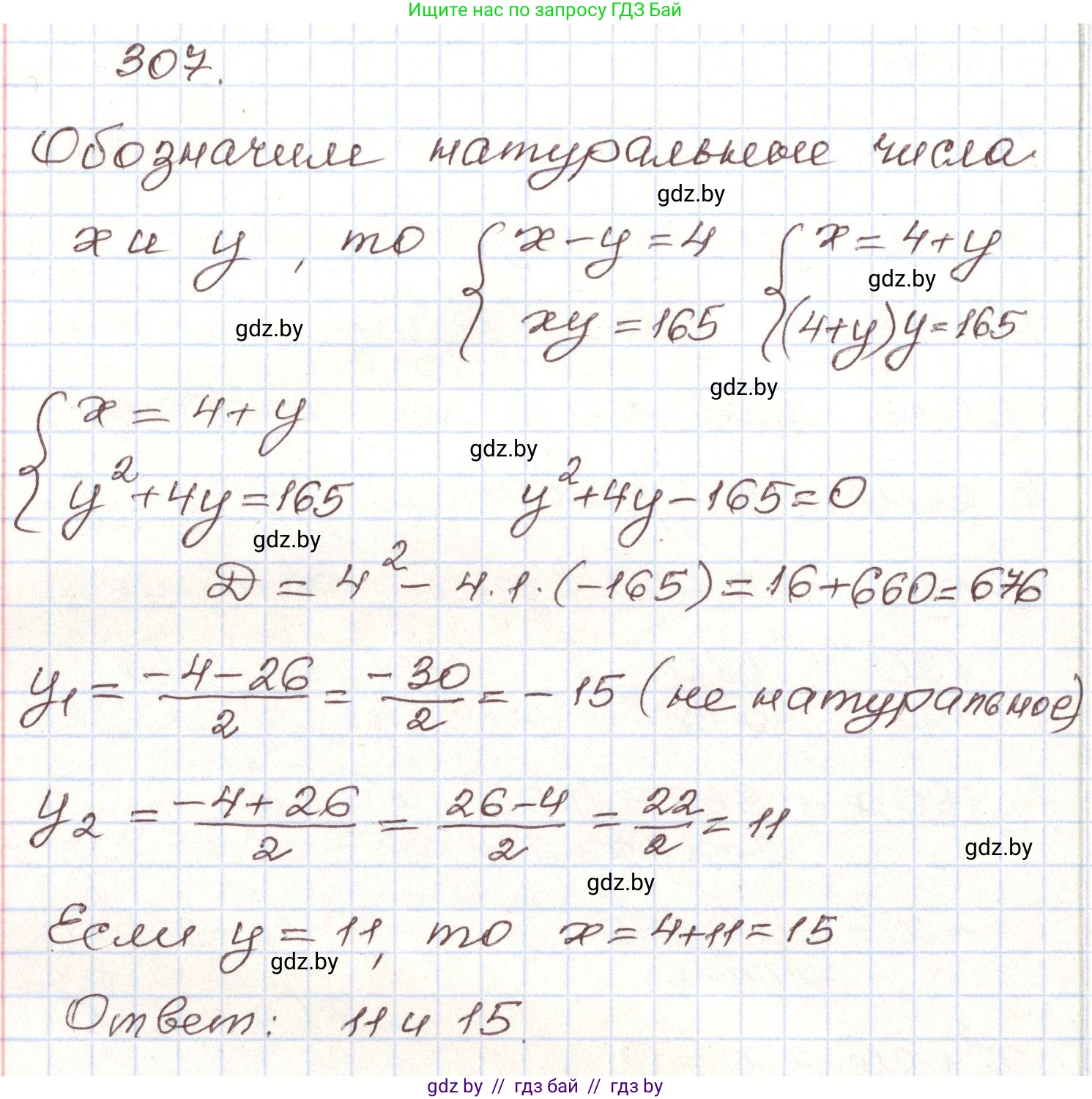
Пусть искомые натуральные числа — это $x$ и $y$. Предположим, что $x > y$.

Согласно условию задачи, можно составить систему уравнений:

$ \begin{cases} x \cdot y = 165 \\ x - y = 4 \end{cases} $

Выразим $x$ из второго уравнения:

$x = y + 4$

Подставим полученное выражение для $x$ в первое уравнение системы:

$(y + 4) \cdot y = 165$

Раскроем скобки и преобразуем уравнение в стандартное квадратное уравнение вида $ay^2 + by + c = 0$:

$y^2 + 4y = 165$

$y^2 + 4y - 165 = 0$

Для решения этого уравнения найдем дискриминант ($D$) по формуле $D = b^2 - 4ac$, где $a=1$, $b=4$, $c=-165$:

$D = 4^2 - 4 \cdot 1 \cdot (-165) = 16 + 660 = 676$

Теперь найдем корни уравнения по формуле $y_{1,2} = \frac{-b \pm \sqrt{D}}{2a}$:

$\sqrt{D} = \sqrt{676} = 26$

$y_1 = \frac{-4 + 26}{2} = \frac{22}{2} = 11$

$y_2 = \frac{-4 - 26}{2} = \frac{-30}{2} = -15$

В условии сказано, что числа натуральные, то есть они должны быть положительными целыми числами. Корень $y_2 = -15$ не удовлетворяет этому условию, поэтому мы его отбрасываем.

Таким образом, одно из чисел равно $y = 11$.

Найдем второе число, подставив значение $y$ в выражение $x = y + 4$:

$x = 11 + 4 = 15$

Искомые числа — 11 и 15.

Проверим решение:

  • Произведение: $11 \cdot 15 = 165$ (верно).
  • Разность: $15 - 11 = 4$ (верно).

Ответ: 11 и 15.

Помогло решение? Оставьте отзыв в комментариях ниже.

Присоединяйтесь к Телеграм-группе @gdz_by_belarus

Присоединиться

Мы подготовили для вас ответ c подробным объяснением домашего задания по алгебре за 9 класс, для упражнения номер 307 расположенного на странице 299 к учебнику 2019 года издания для учащихся школ и гимназий.

Теперь на нашем сайте ГДЗ.ТОП вы всегда легко и бесплатно найдёте условие с правильным ответом на вопрос «Как решить ДЗ» и «Как сделать» задание по алгебре к упражнению №307 (с. 299), авторов: Арефьева (Ирина Глебовна), Пирютко (Ольга Николаевна), учебного пособия издательства Народная асвета.