Номер 600, страница 141 - гдз по алгебре 8 класс учебник Макарычев, Миндюк

Алгебра, 8 класс Учебник, авторы: Макарычев Юрий Николаевич, Миндюк Нора Григорьевна, Нешков Константин Иванович, Суворова Светлана Борисовна, издательство Просвещение, Москва, 2019 - 2022, белого цвета

Авторы: Макарычев Ю. Н., Миндюк Н. Г., Нешков К. И., Суворова С. Б.

Тип: Учебник

Издательство: Просвещение

Год издания: 2019 - 2022

Цвет обложки: белый, голубой, фиолетовый

ISBN: 978-5-09-087569-1

Допущено Министерством просвещения Российской Федерации

Популярные ГДЗ в 8 классе

Глава 3. Квадратные уравнения. Параграф 9. Дробные рациональные уравнения. 25. Решение дробных рациональных уравнений - номер 600, страница 141.

№600 (с. 141)
Условие. №600 (с. 141)
скриншот условия
Алгебра, 8 класс Учебник, авторы: Макарычев Юрий Николаевич, Миндюк Нора Григорьевна, Нешков Константин Иванович, Суворова Светлана Борисовна, издательство Просвещение, Москва, 2019 - 2022, белого цвета, страница 141, номер 600, Условие

600. Найдите корни уравнения:

а) $ \frac{y^2}{y+3} = \frac{y}{y+3} $;

б) $ \frac{x^2}{x^2-4} = \frac{5x-6}{x^2-4} $;

в) $ \frac{2x^2}{x-2} = \frac{-7x+6}{2-x} $;

г) $ \frac{y^2-6y}{y-5} = \frac{5}{5-y} $;

д) $ \frac{2x-1}{x+7} = \frac{3x+4}{x-1} $;

е) $ \frac{2y+3}{2y-1} = \frac{y-5}{y+3} $;

ж) $ \frac{5y+1}{y+1} = \frac{y+2}{y} $;

з) $ \frac{1+3x}{1-2x} = \frac{5-3x}{1+2x} $;

и) $ \frac{x-1}{2x+3} - \frac{2x-1}{3-2x} = 0 $.

Решение 1. №600 (с. 141)
Алгебра, 8 класс Учебник, авторы: Макарычев Юрий Николаевич, Миндюк Нора Григорьевна, Нешков Константин Иванович, Суворова Светлана Борисовна, издательство Просвещение, Москва, 2019 - 2022, белого цвета, страница 141, номер 600, Решение 1
Алгебра, 8 класс Учебник, авторы: Макарычев Юрий Николаевич, Миндюк Нора Григорьевна, Нешков Константин Иванович, Суворова Светлана Борисовна, издательство Просвещение, Москва, 2019 - 2022, белого цвета, страница 141, номер 600, Решение 1 (продолжение 2)
Решение 2. №600 (с. 141)
Алгебра, 8 класс Учебник, авторы: Макарычев Юрий Николаевич, Миндюк Нора Григорьевна, Нешков Константин Иванович, Суворова Светлана Борисовна, издательство Просвещение, Москва, 2019 - 2022, белого цвета, страница 141, номер 600, Решение 2
Алгебра, 8 класс Учебник, авторы: Макарычев Юрий Николаевич, Миндюк Нора Григорьевна, Нешков Константин Иванович, Суворова Светлана Борисовна, издательство Просвещение, Москва, 2019 - 2022, белого цвета, страница 141, номер 600, Решение 2 (продолжение 2)
Решение 3. №600 (с. 141)
Алгебра, 8 класс Учебник, авторы: Макарычев Юрий Николаевич, Миндюк Нора Григорьевна, Нешков Константин Иванович, Суворова Светлана Борисовна, издательство Просвещение, Москва, 2019 - 2022, белого цвета, страница 141, номер 600, Решение 3
Решение 4. №600 (с. 141)
Алгебра, 8 класс Учебник, авторы: Макарычев Юрий Николаевич, Миндюк Нора Григорьевна, Нешков Константин Иванович, Суворова Светлана Борисовна, издательство Просвещение, Москва, 2019 - 2022, белого цвета, страница 141, номер 600, Решение 4
Решение 5. №600 (с. 141)
Алгебра, 8 класс Учебник, авторы: Макарычев Юрий Николаевич, Миндюк Нора Григорьевна, Нешков Константин Иванович, Суворова Светлана Борисовна, издательство Просвещение, Москва, 2019 - 2022, белого цвета, страница 141, номер 600, Решение 5 Алгебра, 8 класс Учебник, авторы: Макарычев Юрий Николаевич, Миндюк Нора Григорьевна, Нешков Константин Иванович, Суворова Светлана Борисовна, издательство Просвещение, Москва, 2019 - 2022, белого цвета, страница 141, номер 600, Решение 5 (продолжение 2)
Решение 6. №600 (с. 141)
Алгебра, 8 класс Учебник, авторы: Макарычев Юрий Николаевич, Миндюк Нора Григорьевна, Нешков Константин Иванович, Суворова Светлана Борисовна, издательство Просвещение, Москва, 2019 - 2022, белого цвета, страница 141, номер 600, Решение 6 Алгебра, 8 класс Учебник, авторы: Макарычев Юрий Николаевич, Миндюк Нора Григорьевна, Нешков Константин Иванович, Суворова Светлана Борисовна, издательство Просвещение, Москва, 2019 - 2022, белого цвета, страница 141, номер 600, Решение 6 (продолжение 2)
Решение 7. №600 (с. 141)
Алгебра, 8 класс Учебник, авторы: Макарычев Юрий Николаевич, Миндюк Нора Григорьевна, Нешков Константин Иванович, Суворова Светлана Борисовна, издательство Просвещение, Москва, 2019 - 2022, белого цвета, страница 141, номер 600, Решение 7
Решение 8. №600 (с. 141)

а) $\frac{y^2}{y+3} = \frac{y}{y+3}$

Область допустимых значений (ОДЗ): знаменатель не должен быть равен нулю, поэтому $y+3 \neq 0$, то есть $y \neq -3$.

Так как знаменатели в обеих частях уравнения равны, можем приравнять числители:

$y^2 = y$

Перенесем все члены уравнения в левую часть:

$y^2 - y = 0$

Вынесем общий множитель $y$ за скобки:

$y(y - 1) = 0$

Произведение равно нулю, когда хотя бы один из множителей равен нулю. Отсюда получаем два корня:

$y_1 = 0$

$y_2 = 1$

Оба корня ($0$ и $1$) удовлетворяют ОДЗ ($y \neq -3$).

Ответ: 0; 1.

б) $\frac{x^2}{x^2-4} = \frac{5x-6}{x^2-4}$

ОДЗ: $x^2 - 4 \neq 0 \implies (x-2)(x+2) \neq 0$, следовательно $x \neq 2$ и $x \neq -2$.

Приравниваем числители, так как знаменатели равны:

$x^2 = 5x - 6$

Переносим все члены в левую часть, чтобы получить квадратное уравнение:

$x^2 - 5x + 6 = 0$

Решаем уравнение. По теореме Виета, сумма корней равна 5, а их произведение равно 6. Легко подобрать корни:

$x_1 = 2$, $x_2 = 3$

Проверяем, соответствуют ли корни ОДЗ. Корень $x_1 = 2$ не удовлетворяет условию $x \neq 2$, поэтому это посторонний корень. Корень $x_2 = 3$ удовлетворяет ОДЗ.

Ответ: 3.

в) $\frac{2x^2}{x-2} = \frac{-7x+6}{2-x}$

ОДЗ: $x-2 \neq 0$ и $2-x \neq 0$. Оба условия означают, что $x \neq 2$.

Заметим, что $2-x = -(x-2)$. Подставим это в уравнение:

$\frac{2x^2}{x-2} = \frac{-7x+6}{-(x-2)}$

$\frac{2x^2}{x-2} = -\frac{-7x+6}{x-2}$

$\frac{2x^2}{x-2} = \frac{7x-6}{x-2}$

Теперь приравниваем числители:

$2x^2 = 7x - 6$

$2x^2 - 7x + 6 = 0$

Решаем квадратное уравнение через дискриминант: $D = b^2 - 4ac = (-7)^2 - 4 \cdot 2 \cdot 6 = 49 - 48 = 1$.

$x_{1,2} = \frac{-b \pm \sqrt{D}}{2a} = \frac{7 \pm \sqrt{1}}{2 \cdot 2} = \frac{7 \pm 1}{4}$

$x_1 = \frac{7+1}{4} = \frac{8}{4} = 2$

$x_2 = \frac{7-1}{4} = \frac{6}{4} = 1.5$

Корень $x_1 = 2$ не удовлетворяет ОДЗ ($x \neq 2$), поэтому является посторонним. Корень $x_2 = 1.5$ удовлетворяет ОДЗ.

Ответ: 1,5.

г) $\frac{y^2-6y}{y-5} = \frac{5}{5-y}$

ОДЗ: $y-5 \neq 0$ и $5-y \neq 0$. Оба условия означают, что $y \neq 5$.

Преобразуем знаменатель правой части: $5-y = -(y-5)$.

$\frac{y^2-6y}{y-5} = \frac{5}{-(y-5)}$

$\frac{y^2-6y}{y-5} = -\frac{5}{y-5}$

Перенесем дробь из правой части влево:

$\frac{y^2-6y}{y-5} + \frac{5}{y-5} = 0$

$\frac{y^2-6y+5}{y-5} = 0$

Дробь равна нулю, когда ее числитель равен нулю, а знаменатель не равен нулю. Приравниваем числитель к нулю:

$y^2 - 6y + 5 = 0$

По теореме Виета: $y_1 = 1$, $y_2 = 5$.

Корень $y_2 = 5$ не удовлетворяет ОДЗ ($y \neq 5$). Корень $y_1 = 1$ удовлетворяет ОДЗ.

Ответ: 1.

д) $\frac{2x-1}{x+7} = \frac{3x+4}{x-1}$

ОДЗ: $x+7 \neq 0 \implies x \neq -7$ и $x-1 \neq 0 \implies x \neq 1$.

Воспользуемся свойством пропорции (перекрестное умножение):

$(2x-1)(x-1) = (3x+4)(x+7)$

Раскроем скобки:

$2x^2 - 2x - x + 1 = 3x^2 + 21x + 4x + 28$

$2x^2 - 3x + 1 = 3x^2 + 25x + 28$

Перенесем все члены в правую часть:

$0 = (3x^2 - 2x^2) + (25x + 3x) + (28 - 1)$

$x^2 + 28x + 27 = 0$

По теореме Виета, $x_1 = -1$, $x_2 = -27$.

Оба корня удовлетворяют ОДЗ.

Ответ: -27; -1.

е) $\frac{2y+3}{2y-1} = \frac{y-5}{y+3}$

ОДЗ: $2y-1 \neq 0 \implies y \neq 0.5$ и $y+3 \neq 0 \implies y \neq -3$.

Применим перекрестное умножение:

$(2y+3)(y+3) = (y-5)(2y-1)$

$2y^2 + 6y + 3y + 9 = 2y^2 - y - 10y + 5$

$2y^2 + 9y + 9 = 2y^2 - 11y + 5$

Сократим $2y^2$ в обеих частях и соберем переменные слева, а константы справа:

$9y + 11y = 5 - 9$

$20y = -4$

$y = -\frac{4}{20} = -\frac{1}{5} = -0.2$

Корень $y = -0.2$ удовлетворяет ОДЗ.

Ответ: -0,2.

ж) $\frac{5y+1}{y+1} = \frac{y+2}{y}$

ОДЗ: $y+1 \neq 0 \implies y \neq -1$ и $y \neq 0$.

Применим перекрестное умножение:

$y(5y+1) = (y+1)(y+2)$

$5y^2 + y = y^2 + 2y + y + 2$

$5y^2 + y = y^2 + 3y + 2$

Перенесем все члены влево:

$4y^2 - 2y - 2 = 0$

Разделим уравнение на 2:

$2y^2 - y - 1 = 0$

Решаем через дискриминант: $D = (-1)^2 - 4 \cdot 2 \cdot (-1) = 1 + 8 = 9$.

$y_{1,2} = \frac{1 \pm \sqrt{9}}{4} = \frac{1 \pm 3}{4}$

$y_1 = \frac{1+3}{4} = 1$

$y_2 = \frac{1-3}{4} = -\frac{2}{4} = -0.5$

Оба корня удовлетворяют ОДЗ.

Ответ: -0,5; 1.

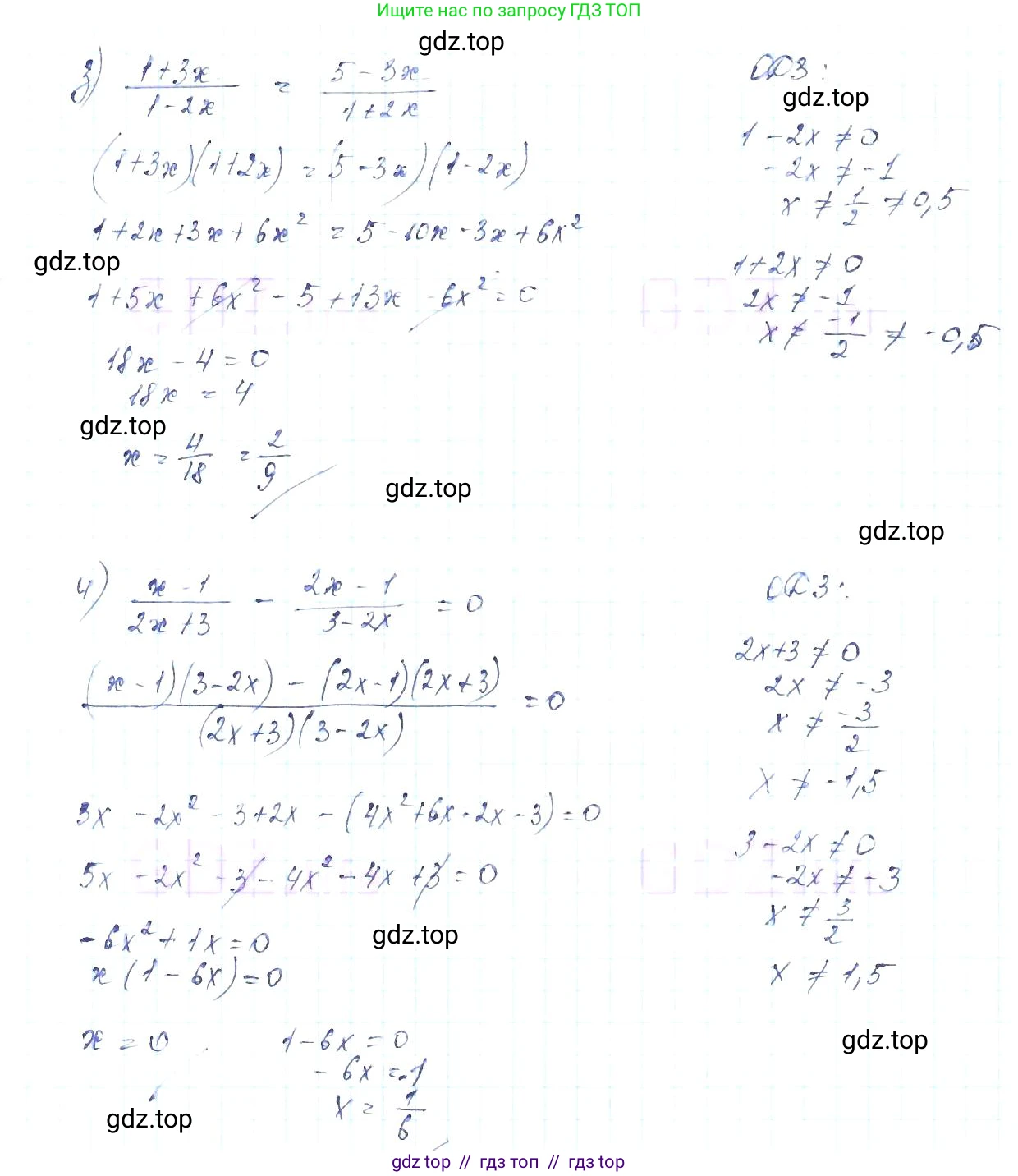
з) $\frac{1+3x}{1-2x} = \frac{5-3x}{1+2x}$

ОДЗ: $1-2x \neq 0 \implies x \neq 0.5$ и $1+2x \neq 0 \implies x \neq -0.5$.

Применим перекрестное умножение:

$(1+3x)(1+2x) = (5-3x)(1-2x)$

$1 + 2x + 3x + 6x^2 = 5 - 10x - 3x + 6x^2$

$1 + 5x + 6x^2 = 5 - 13x + 6x^2$

Сократим $6x^2$ и решим линейное уравнение:

$5x + 13x = 5 - 1$

$18x = 4$

$x = \frac{4}{18} = \frac{2}{9}$

Корень $x = \frac{2}{9}$ удовлетворяет ОДЗ.

Ответ: $\frac{2}{9}$.

и) $\frac{x-1}{2x+3} - \frac{2x-1}{3-2x} = 0$

ОДЗ: $2x+3 \neq 0 \implies x \neq -1.5$ и $3-2x \neq 0 \implies x \neq 1.5$.

Перенесем вторую дробь в правую часть:

$\frac{x-1}{2x+3} = \frac{2x-1}{3-2x}$

Применим перекрестное умножение:

$(x-1)(3-2x) = (2x-1)(2x+3)$

$3x - 2x^2 - 3 + 2x = 4x^2 + 6x - 2x - 3$

$-2x^2 + 5x - 3 = 4x^2 + 4x - 3$

Сократим $-3$ в обеих частях и перенесем все члены вправо:

$0 = (4x^2 + 2x^2) + (4x - 5x)$

$0 = 6x^2 - x$

Вынесем $x$ за скобки:

$x(6x-1) = 0$

Отсюда корни:

$x_1 = 0$

$6x-1=0 \implies x_2 = \frac{1}{6}$

Оба корня удовлетворяют ОДЗ.

Ответ: 0; $\frac{1}{6}$.

Помогло решение? Оставьте отзыв в комментариях ниже.

Присоединяйтесь к Телеграм-группе @top_gdz

Присоединиться

Мы подготовили для вас ответ c подробным объяснением домашего задания по алгебре за 8 класс, для упражнения номер 600 расположенного на странице 141 к учебнику 2019 - 2022 года издания для учащихся школ и гимназий.

Теперь на нашем сайте ГДЗ.ТОП вы всегда легко и бесплатно найдёте условие с правильным ответом на вопрос «Как решить ДЗ» и «Как сделать» задание по алгебре к упражнению №600 (с. 141), авторов: Макарычев (Юрий Николаевич), Миндюк (Нора Григорьевна), Нешков (Константин Иванович), Суворова (Светлана Борисовна), ФГОС (старый) учебного пособия издательства Просвещение.