Номер 601, страница 141 - гдз по алгебре 8 класс учебник Макарычев, Миндюк

Алгебра, 8 класс Учебник, авторы: Макарычев Юрий Николаевич, Миндюк Нора Григорьевна, Нешков Константин Иванович, Суворова Светлана Борисовна, издательство Просвещение, Москва, 2019 - 2022, белого цвета

Авторы: Макарычев Ю. Н., Миндюк Н. Г., Нешков К. И., Суворова С. Б.

Тип: Учебник

Издательство: Просвещение

Год издания: 2019 - 2022

Цвет обложки: белый, голубой, фиолетовый

ISBN: 978-5-09-087569-1

Допущено Министерством просвещения Российской Федерации

Популярные ГДЗ в 8 классе

Глава 3. Квадратные уравнения. Параграф 9. Дробные рациональные уравнения. 25. Решение дробных рациональных уравнений - номер 601, страница 141.

№601 (с. 141)
Условие. №601 (с. 141)
скриншот условия
Алгебра, 8 класс Учебник, авторы: Макарычев Юрий Николаевич, Миндюк Нора Григорьевна, Нешков Константин Иванович, Суворова Светлана Борисовна, издательство Просвещение, Москва, 2019 - 2022, белого цвета, страница 141, номер 601, Условие

601. Решите уравнение:

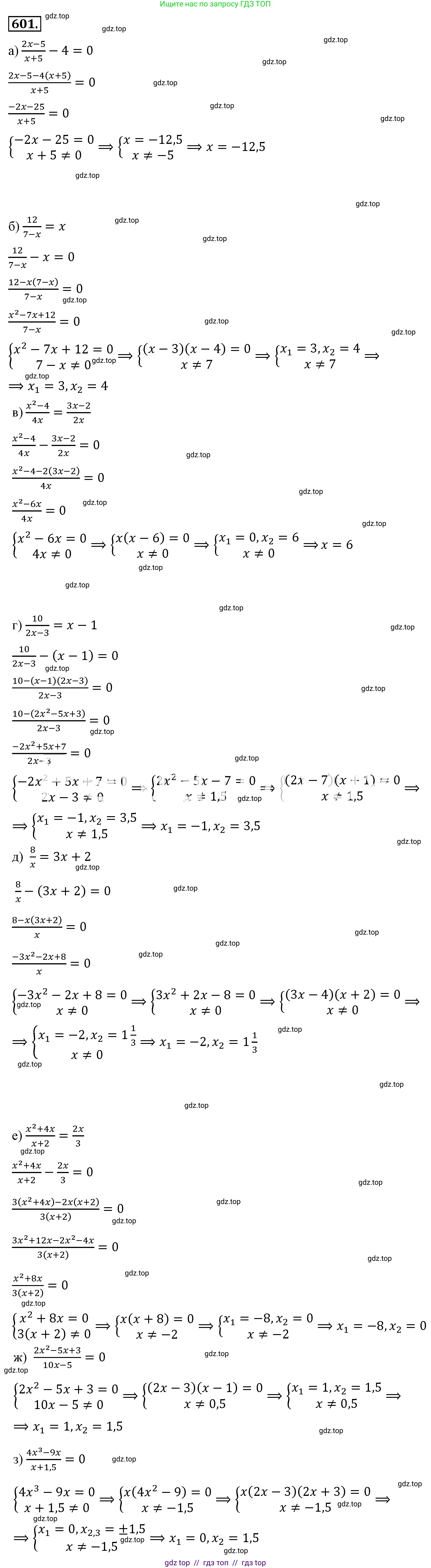
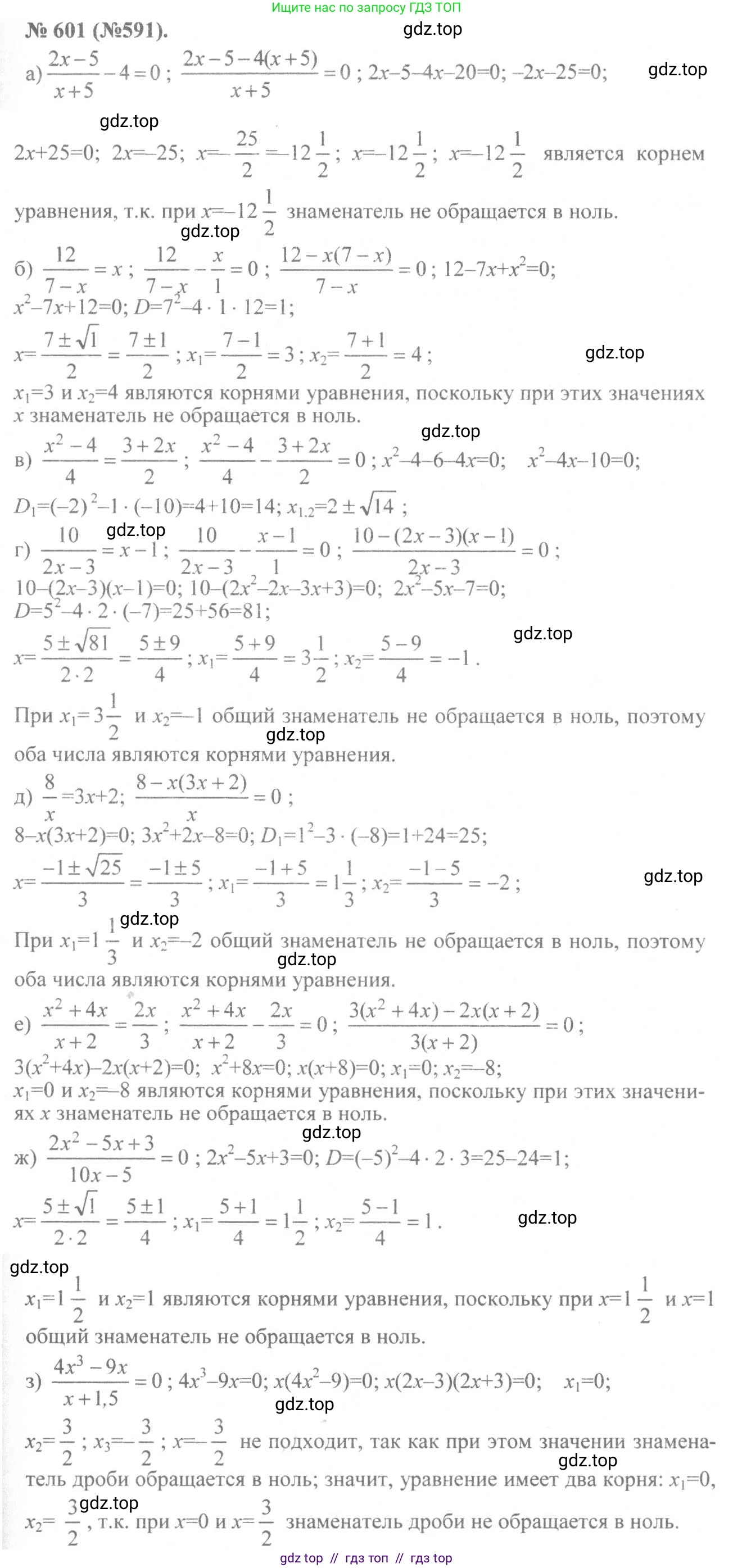
a) $ \frac{2x - 5}{x + 5} - 4 = 0; $

б) $ \frac{12}{7 - x} = x; $

в) $ \frac{x^2 - 4}{4x} = \frac{3x - 2}{2x}; $

г) $ \frac{10}{2x - 3} = x - 1; $

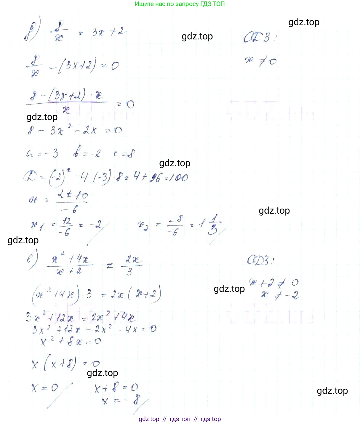
д) $ \frac{8}{x} = 3x + 2; $

е) $ \frac{x^2 + 4x}{x + 2} = \frac{2x}{3}; $

ж) $ \frac{2x^2 - 5x + 3}{10x - 5} = 0; $

з) $ \frac{4x^3 - 9x}{x + 1,5} = 0. $

Решение 1. №601 (с. 141)
Алгебра, 8 класс Учебник, авторы: Макарычев Юрий Николаевич, Миндюк Нора Григорьевна, Нешков Константин Иванович, Суворова Светлана Борисовна, издательство Просвещение, Москва, 2019 - 2022, белого цвета, страница 141, номер 601, Решение 1
Алгебра, 8 класс Учебник, авторы: Макарычев Юрий Николаевич, Миндюк Нора Григорьевна, Нешков Константин Иванович, Суворова Светлана Борисовна, издательство Просвещение, Москва, 2019 - 2022, белого цвета, страница 141, номер 601, Решение 1 (продолжение 2)
Решение 2. №601 (с. 141)
Алгебра, 8 класс Учебник, авторы: Макарычев Юрий Николаевич, Миндюк Нора Григорьевна, Нешков Константин Иванович, Суворова Светлана Борисовна, издательство Просвещение, Москва, 2019 - 2022, белого цвета, страница 141, номер 601, Решение 2
Алгебра, 8 класс Учебник, авторы: Макарычев Юрий Николаевич, Миндюк Нора Григорьевна, Нешков Константин Иванович, Суворова Светлана Борисовна, издательство Просвещение, Москва, 2019 - 2022, белого цвета, страница 141, номер 601, Решение 2 (продолжение 2)
Решение 3. №601 (с. 141)
Алгебра, 8 класс Учебник, авторы: Макарычев Юрий Николаевич, Миндюк Нора Григорьевна, Нешков Константин Иванович, Суворова Светлана Борисовна, издательство Просвещение, Москва, 2019 - 2022, белого цвета, страница 141, номер 601, Решение 3
Решение 4. №601 (с. 141)
Алгебра, 8 класс Учебник, авторы: Макарычев Юрий Николаевич, Миндюк Нора Григорьевна, Нешков Константин Иванович, Суворова Светлана Борисовна, издательство Просвещение, Москва, 2019 - 2022, белого цвета, страница 141, номер 601, Решение 4
Решение 5. №601 (с. 141)
Алгебра, 8 класс Учебник, авторы: Макарычев Юрий Николаевич, Миндюк Нора Григорьевна, Нешков Константин Иванович, Суворова Светлана Борисовна, издательство Просвещение, Москва, 2019 - 2022, белого цвета, страница 141, номер 601, Решение 5 Алгебра, 8 класс Учебник, авторы: Макарычев Юрий Николаевич, Миндюк Нора Григорьевна, Нешков Константин Иванович, Суворова Светлана Борисовна, издательство Просвещение, Москва, 2019 - 2022, белого цвета, страница 141, номер 601, Решение 5 (продолжение 2)
Решение 6. №601 (с. 141)
Алгебра, 8 класс Учебник, авторы: Макарычев Юрий Николаевич, Миндюк Нора Григорьевна, Нешков Константин Иванович, Суворова Светлана Борисовна, издательство Просвещение, Москва, 2019 - 2022, белого цвета, страница 141, номер 601, Решение 6 Алгебра, 8 класс Учебник, авторы: Макарычев Юрий Николаевич, Миндюк Нора Григорьевна, Нешков Константин Иванович, Суворова Светлана Борисовна, издательство Просвещение, Москва, 2019 - 2022, белого цвета, страница 141, номер 601, Решение 6 (продолжение 2)
Решение 7. №601 (с. 141)
Алгебра, 8 класс Учебник, авторы: Макарычев Юрий Николаевич, Миндюк Нора Григорьевна, Нешков Константин Иванович, Суворова Светлана Борисовна, издательство Просвещение, Москва, 2019 - 2022, белого цвета, страница 141, номер 601, Решение 7
Решение 8. №601 (с. 141)

а)

Дано уравнение $\frac{2x - 5}{x + 5} - 4 = 0$.

Область допустимых значений (ОДЗ) определяется условием, что знаменатель не равен нулю: $x + 5 \neq 0$, то есть $x \neq -5$.

Приведем левую часть к общему знаменателю $x+5$:

$\frac{2x - 5 - 4(x+5)}{x + 5} = 0$

$\frac{2x - 5 - 4x - 20}{x + 5} = 0$

$\frac{-2x - 25}{x + 5} = 0$

Дробь равна нулю, когда ее числитель равен нулю, а знаменатель не равен нулю. Условие на знаменатель ($x \neq -5$) мы уже учли.

Приравняем числитель к нулю:

$-2x - 25 = 0$

$-2x = 25$

$x = -\frac{25}{2} = -12.5$

Полученный корень $x = -12.5$ удовлетворяет ОДЗ.

Ответ: $-12.5$.

б)

Дано уравнение $\frac{12}{7 - x} = x$.

ОДЗ: $7 - x \neq 0$, то есть $x \neq 7$.

Умножим обе части уравнения на $(7 - x)$, чтобы избавиться от знаменателя:

$12 = x(7 - x)$

Раскроем скобки:

$12 = 7x - x^2$

Перенесем все члены в левую часть, чтобы получить стандартное квадратное уравнение:

$x^2 - 7x + 12 = 0$

Решим это уравнение. Можно использовать теорему Виета: сумма корней равна 7, а их произведение равно 12. Подбором находим корни $x_1 = 3$ и $x_2 = 4$.

Либо через дискриминант: $D = b^2 - 4ac = (-7)^2 - 4 \cdot 1 \cdot 12 = 49 - 48 = 1$.

$x_{1,2} = \frac{-b \pm \sqrt{D}}{2a} = \frac{7 \pm \sqrt{1}}{2}$

$x_1 = \frac{7 + 1}{2} = 4$

$x_2 = \frac{7 - 1}{2} = 3$

Оба корня, 3 и 4, удовлетворяют ОДЗ ($x \neq 7$).

Ответ: $3; 4$.

в)

Дано уравнение $\frac{x^2 - 4}{4x} = \frac{3x - 2}{2x}$.

ОДЗ: знаменатели не должны быть равны нулю, поэтому $4x \neq 0$ и $2x \neq 0$, что дает одно условие $x \neq 0$.

Умножим обе части уравнения на общий знаменатель $4x$:

$x^2 - 4 = \frac{3x - 2}{2x} \cdot 4x$

$x^2 - 4 = (3x - 2) \cdot 2$

$x^2 - 4 = 6x - 4$

Перенесем все члены в левую часть:

$x^2 - 6x - 4 + 4 = 0$

$x^2 - 6x = 0$

Вынесем $x$ за скобки:

$x(x - 6) = 0$

Отсюда получаем два возможных корня: $x_1 = 0$ и $x_2 = 6$.

Проверим корни по ОДЗ. Корень $x_1 = 0$ не удовлетворяет условию $x \neq 0$, поэтому является посторонним. Корень $x_2 = 6$ удовлетворяет ОДЗ.

Ответ: $6$.

г)

Дано уравнение $\frac{10}{2x - 3} = x - 1$.

ОДЗ: $2x - 3 \neq 0$, то есть $x \neq \frac{3}{2}$ или $x \neq 1.5$.

Умножим обе части на $(2x - 3)$:

$10 = (x - 1)(2x - 3)$

Раскроем скобки в правой части:

$10 = 2x^2 - 3x - 2x + 3$

$10 = 2x^2 - 5x + 3$

Перенесем все в одну сторону, чтобы получить квадратное уравнение:

$2x^2 - 5x + 3 - 10 = 0$

$2x^2 - 5x - 7 = 0$

Решим через дискриминант: $D = (-5)^2 - 4 \cdot 2 \cdot (-7) = 25 + 56 = 81$.

$x_{1,2} = \frac{5 \pm \sqrt{81}}{2 \cdot 2} = \frac{5 \pm 9}{4}$

$x_1 = \frac{5 + 9}{4} = \frac{14}{4} = \frac{7}{2} = 3.5$

$x_2 = \frac{5 - 9}{4} = \frac{-4}{4} = -1$

Оба корня, -1 и 3.5, удовлетворяют ОДЗ ($x \neq 1.5$).

Ответ: $-1; 3.5$.

д)

Дано уравнение $\frac{8}{x} = 3x + 2$.

ОДЗ: $x \neq 0$.

Умножим обе части на $x$:

$8 = x(3x + 2)$

$8 = 3x^2 + 2x$

Перепишем в виде стандартного квадратного уравнения:

$3x^2 + 2x - 8 = 0$

Решим через дискриминант: $D = 2^2 - 4 \cdot 3 \cdot (-8) = 4 + 96 = 100$.

$x_{1,2} = \frac{-2 \pm \sqrt{100}}{2 \cdot 3} = \frac{-2 \pm 10}{6}$

$x_1 = \frac{-2 + 10}{6} = \frac{8}{6} = \frac{4}{3}$

$x_2 = \frac{-2 - 10}{6} = \frac{-12}{6} = -2$

Оба корня, $-2$ и $\frac{4}{3}$, удовлетворяют ОДЗ ($x \neq 0$).

Ответ: $-2; \frac{4}{3}$.

е)

Дано уравнение $\frac{x^2 + 4x}{x + 2} = \frac{2x}{3}$.

ОДЗ: $x + 2 \neq 0$, то есть $x \neq -2$.

Воспользуемся свойством пропорции (перекрестное умножение):

$3(x^2 + 4x) = 2x(x + 2)$

Раскроем скобки:

$3x^2 + 12x = 2x^2 + 4x$

Перенесем все члены в левую часть:

$3x^2 - 2x^2 + 12x - 4x = 0$

$x^2 + 8x = 0$

Вынесем $x$ за скобки:

$x(x + 8) = 0$

Получаем два корня: $x_1 = 0$ и $x_2 = -8$.

Оба корня удовлетворяют ОДЗ ($x \neq -2$).

Ответ: $-8; 0$.

ж)

Дано уравнение $\frac{2x^2 - 5x + 3}{10x - 5} = 0$.

Дробь равна нулю, когда ее числитель равен нулю, а знаменатель отличен от нуля.

1. Приравняем числитель к нулю:

$2x^2 - 5x + 3 = 0$

Решим квадратное уравнение через дискриминант: $D = (-5)^2 - 4 \cdot 2 \cdot 3 = 25 - 24 = 1$.

$x_{1,2} = \frac{5 \pm \sqrt{1}}{2 \cdot 2} = \frac{5 \pm 1}{4}$

$x_1 = \frac{5 + 1}{4} = \frac{6}{4} = 1.5$

$x_2 = \frac{5 - 1}{4} = \frac{4}{4} = 1$

2. Проверим, что знаменатель не равен нулю для этих корней:

$10x - 5 \neq 0 \implies 10x \neq 5 \implies x \neq 0.5$.

Оба найденных корня ($1$ и $1.5$) не равны $0.5$, следовательно, они являются решениями уравнения.

Ответ: $1; 1.5$.

з)

Дано уравнение $\frac{4x^3 - 9x}{x + 1.5} = 0$.

Дробь равна нулю, если ее числитель равен нулю, а знаменатель не равен нулю.

1. Решим уравнение числителя:

$4x^3 - 9x = 0$

Вынесем общий множитель $x$ за скобки:

$x(4x^2 - 9) = 0$

Произведение равно нулю, если хотя бы один из множителей равен нулю:

$x_1 = 0$ или $4x^2 - 9 = 0$

Решим второе уравнение: $4x^2 = 9 \implies x^2 = \frac{9}{4} \implies x = \pm \sqrt{\frac{9}{4}}$.

$x_2 = 1.5$

$x_3 = -1.5$

2. Проверим условие для знаменателя:

$x + 1.5 \neq 0 \implies x \neq -1.5$.

Сравнивая полученные корни с этим условием, видим, что корень $x_3 = -1.5$ является посторонним, так как он обращает знаменатель в ноль.

Остаются два корня: $0$ и $1.5$.

Ответ: $0; 1.5$.

Помогло решение? Оставьте отзыв в комментариях ниже.

Присоединяйтесь к Телеграм-группе @top_gdz

Присоединиться

Мы подготовили для вас ответ c подробным объяснением домашего задания по алгебре за 8 класс, для упражнения номер 601 расположенного на странице 141 к учебнику 2019 - 2022 года издания для учащихся школ и гимназий.

Теперь на нашем сайте ГДЗ.ТОП вы всегда легко и бесплатно найдёте условие с правильным ответом на вопрос «Как решить ДЗ» и «Как сделать» задание по алгебре к упражнению №601 (с. 141), авторов: Макарычев (Юрий Николаевич), Миндюк (Нора Григорьевна), Нешков (Константин Иванович), Суворова (Светлана Борисовна), ФГОС (старый) учебного пособия издательства Просвещение.