Номер 602, страница 142 - гдз по алгебре 8 класс учебник Макарычев, Миндюк

Алгебра, 8 класс Учебник, авторы: Макарычев Юрий Николаевич, Миндюк Нора Григорьевна, Нешков Константин Иванович, Суворова Светлана Борисовна, издательство Просвещение, Москва, 2019 - 2022, белого цвета

Авторы: Макарычев Ю. Н., Миндюк Н. Г., Нешков К. И., Суворова С. Б.

Тип: Учебник

Издательство: Просвещение

Год издания: 2019 - 2022

Цвет обложки: белый, голубой, фиолетовый

ISBN: 978-5-09-087569-1

Допущено Министерством просвещения Российской Федерации

Популярные ГДЗ в 8 классе

Глава 3. Квадратные уравнения. Параграф 9. Дробные рациональные уравнения. 25. Решение дробных рациональных уравнений - номер 602, страница 142.

№602 (с. 142)
Условие. №602 (с. 142)
скриншот условия
Алгебра, 8 класс Учебник, авторы: Макарычев Юрий Николаевич, Миндюк Нора Григорьевна, Нешков Константин Иванович, Суворова Светлана Борисовна, издательство Просвещение, Москва, 2019 - 2022, белого цвета, страница 142, номер 602, Условие

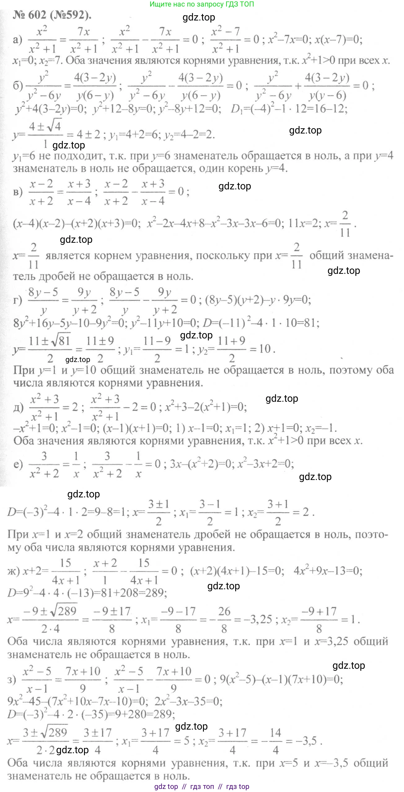
602. Найдите корни уравнения:

а) $ \frac{x^2}{x^2 + 1} = \frac{7x}{x^2 + 1} $

б) $ \frac{y^2}{y^2 - 6y} = \frac{4(3 - 2y)}{y(6 - y)} $

в) $ \frac{x - 2}{x + 2} = \frac{x + 3}{x - 4} $

г) $ \frac{8y - 5}{y} = \frac{9y}{y + 2} $

д) $ \frac{x^2 + 3}{x^2 + 1} = 2 $

е) $ \frac{3}{x^2 + 2} = \frac{1}{x} $

ж) $ x + 2 = \frac{15}{4x + 1} $

з) $ \frac{x^2 - 5}{x - 1} = \frac{7x + 10}{9} $

Решение 1. №602 (с. 142)
Алгебра, 8 класс Учебник, авторы: Макарычев Юрий Николаевич, Миндюк Нора Григорьевна, Нешков Константин Иванович, Суворова Светлана Борисовна, издательство Просвещение, Москва, 2019 - 2022, белого цвета, страница 142, номер 602, Решение 1
Алгебра, 8 класс Учебник, авторы: Макарычев Юрий Николаевич, Миндюк Нора Григорьевна, Нешков Константин Иванович, Суворова Светлана Борисовна, издательство Просвещение, Москва, 2019 - 2022, белого цвета, страница 142, номер 602, Решение 1 (продолжение 2)
Решение 2. №602 (с. 142)
Алгебра, 8 класс Учебник, авторы: Макарычев Юрий Николаевич, Миндюк Нора Григорьевна, Нешков Константин Иванович, Суворова Светлана Борисовна, издательство Просвещение, Москва, 2019 - 2022, белого цвета, страница 142, номер 602, Решение 2
Алгебра, 8 класс Учебник, авторы: Макарычев Юрий Николаевич, Миндюк Нора Григорьевна, Нешков Константин Иванович, Суворова Светлана Борисовна, издательство Просвещение, Москва, 2019 - 2022, белого цвета, страница 142, номер 602, Решение 2 (продолжение 2)
Решение 3. №602 (с. 142)
Алгебра, 8 класс Учебник, авторы: Макарычев Юрий Николаевич, Миндюк Нора Григорьевна, Нешков Константин Иванович, Суворова Светлана Борисовна, издательство Просвещение, Москва, 2019 - 2022, белого цвета, страница 142, номер 602, Решение 3
Решение 4. №602 (с. 142)
Алгебра, 8 класс Учебник, авторы: Макарычев Юрий Николаевич, Миндюк Нора Григорьевна, Нешков Константин Иванович, Суворова Светлана Борисовна, издательство Просвещение, Москва, 2019 - 2022, белого цвета, страница 142, номер 602, Решение 4
Решение 5. №602 (с. 142)
Алгебра, 8 класс Учебник, авторы: Макарычев Юрий Николаевич, Миндюк Нора Григорьевна, Нешков Константин Иванович, Суворова Светлана Борисовна, издательство Просвещение, Москва, 2019 - 2022, белого цвета, страница 142, номер 602, Решение 5
Решение 6. №602 (с. 142)
Алгебра, 8 класс Учебник, авторы: Макарычев Юрий Николаевич, Миндюк Нора Григорьевна, Нешков Константин Иванович, Суворова Светлана Борисовна, издательство Просвещение, Москва, 2019 - 2022, белого цвета, страница 142, номер 602, Решение 6 Алгебра, 8 класс Учебник, авторы: Макарычев Юрий Николаевич, Миндюк Нора Григорьевна, Нешков Константин Иванович, Суворова Светлана Борисовна, издательство Просвещение, Москва, 2019 - 2022, белого цвета, страница 142, номер 602, Решение 6 (продолжение 2)
Решение 7. №602 (с. 142)
Алгебра, 8 класс Учебник, авторы: Макарычев Юрий Николаевич, Миндюк Нора Григорьевна, Нешков Константин Иванович, Суворова Светлана Борисовна, издательство Просвещение, Москва, 2019 - 2022, белого цвета, страница 142, номер 602, Решение 7
Решение 8. №602 (с. 142)

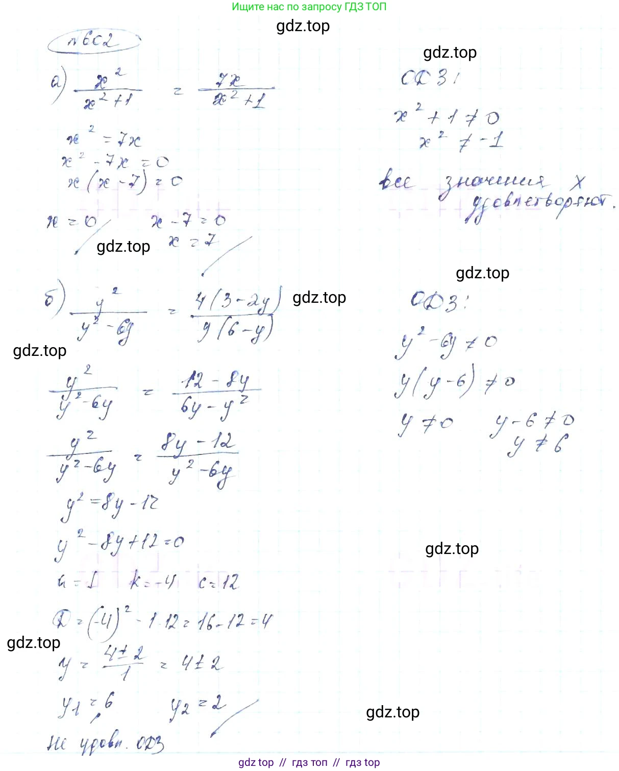
а) $\frac{x^2}{x^2 + 1} = \frac{7x}{x^2 + 1}$

Область допустимых значений (ОДЗ): знаменатель $x^2 + 1$ не должен быть равен нулю. Так как $x^2 \geq 0$ для любого действительного $x$, то $x^2 + 1 \geq 1$, следовательно, знаменатель никогда не равен нулю. ОДЗ: $x \in \mathbb{R}$.

Так как знаменатели равны, приравниваем числители:

$x^2 = 7x$

$x^2 - 7x = 0$

$x(x - 7) = 0$

Отсюда получаем два корня:

$x_1 = 0$

$x_2 = 7$

Оба корня входят в ОДЗ.

Ответ: $0; 7$.

б) $\frac{y^2}{y^2 - 6y} = \frac{4(3 - 2y)}{y(6 - y)}$

Найдем ОДЗ. Знаменатели не должны быть равны нулю:

$y^2 - 6y \neq 0 \Rightarrow y(y - 6) \neq 0 \Rightarrow y \neq 0$ и $y \neq 6$.

$y(6 - y) \neq 0 \Rightarrow y \neq 0$ и $y \neq 6$.

ОДЗ: $y \neq 0$, $y \neq 6$.

Преобразуем знаменатель правой части: $y(6 - y) = -y(y - 6)$. Уравнение примет вид:

$\frac{y^2}{y(y - 6)} = \frac{4(3 - 2y)}{-y(y - 6)}$

$\frac{y^2}{y(y - 6)} = -\frac{12 - 8y}{y(y - 6)}$

Приравниваем числители:

$y^2 = -(12 - 8y)$

$y^2 = -12 + 8y$

$y^2 - 8y + 12 = 0$

Решим квадратное уравнение. По теореме Виета: $y_1 + y_2 = 8$, $y_1 \cdot y_2 = 12$. Корни: $y_1 = 2$, $y_2 = 6$.

Проверим корни по ОДЗ. Корень $y_1 = 2$ удовлетворяет условиям. Корень $y_2 = 6$ не удовлетворяет условию $y \neq 6$, поэтому является посторонним.

Ответ: $2$.

в) $\frac{x - 2}{x + 2} = \frac{x + 3}{x - 4}$

ОДЗ: $x + 2 \neq 0 \Rightarrow x \neq -2$ и $x - 4 \neq 0 \Rightarrow x \neq 4$.

Воспользуемся свойством пропорции (перекрестное умножение):

$(x - 2)(x - 4) = (x + 3)(x + 2)$

Раскроем скобки:

$x^2 - 4x - 2x + 8 = x^2 + 2x + 3x + 6$

$x^2 - 6x + 8 = x^2 + 5x + 6$

Перенесем члены с $x$ в одну сторону, а свободные члены в другую:

$-6x - 5x = 6 - 8$

$-11x = -2$

$x = \frac{2}{11}$

Корень $x = \frac{2}{11}$ удовлетворяет ОДЗ.

Ответ: $\frac{2}{11}$.

г) $\frac{8y - 5}{y} = \frac{9y}{y + 2}$

ОДЗ: $y \neq 0$ и $y + 2 \neq 0 \Rightarrow y \neq -2$.

Применим перекрестное умножение:

$(8y - 5)(y + 2) = y \cdot 9y$

$8y^2 + 16y - 5y - 10 = 9y^2$

$8y^2 + 11y - 10 = 9y^2$

$y^2 - 11y + 10 = 0$

По теореме Виета: $y_1 + y_2 = 11$, $y_1 \cdot y_2 = 10$. Корни: $y_1 = 1$, $y_2 = 10$.

Оба корня удовлетворяют ОДЗ.

Ответ: $1; 10$.

д) $\frac{x^2 + 3}{x^2 + 1} = 2$

ОДЗ: $x^2 + 1 \neq 0$, что верно для любых действительных $x$. ОДЗ: $x \in \mathbb{R}$.

Умножим обе части уравнения на $x^2 + 1$:

$x^2 + 3 = 2(x^2 + 1)$

$x^2 + 3 = 2x^2 + 2$

$2x^2 - x^2 = 3 - 2$

$x^2 = 1$

$x_1 = 1$, $x_2 = -1$

Оба корня входят в ОДЗ.

Ответ: $-1; 1$.

е) $\frac{3}{x^2 + 2} = \frac{1}{x}$

ОДЗ: $x^2 + 2 \neq 0$ (верно для всех $x$) и $x \neq 0$.

Применим перекрестное умножение:

$3x = 1(x^2 + 2)$

$x^2 - 3x + 2 = 0$

По теореме Виета: $x_1 + x_2 = 3$, $x_1 \cdot x_2 = 2$. Корни: $x_1 = 1$, $x_2 = 2$.

Оба корня удовлетворяют ОДЗ.

Ответ: $1; 2$.

ж) $x + 2 = \frac{15}{4x + 1}$

ОДЗ: $4x + 1 \neq 0 \Rightarrow 4x \neq -1 \Rightarrow x \neq -\frac{1}{4}$.

Умножим обе части уравнения на $4x+1$:

$(x + 2)(4x + 1) = 15$

$4x^2 + x + 8x + 2 = 15$

$4x^2 + 9x - 13 = 0$

Решим квадратное уравнение через дискриминант:

$D = b^2 - 4ac = 9^2 - 4 \cdot 4 \cdot (-13) = 81 + 208 = 289 = 17^2$

$x_{1,2} = \frac{-b \pm \sqrt{D}}{2a} = \frac{-9 \pm 17}{8}$

$x_1 = \frac{-9 - 17}{8} = \frac{-26}{8} = -\frac{13}{4}$

$x_2 = \frac{-9 + 17}{8} = \frac{8}{8} = 1$

Оба корня удовлетворяют ОДЗ.

Ответ: $-\frac{13}{4}; 1$.

з) $\frac{x^2 - 5}{x - 1} = \frac{7x + 10}{9}$

ОДЗ: $x - 1 \neq 0 \Rightarrow x \neq 1$.

Применим перекрестное умножение:

$9(x^2 - 5) = (x - 1)(7x + 10)$

$9x^2 - 45 = 7x^2 + 10x - 7x - 10$

$9x^2 - 45 = 7x^2 + 3x - 10$

$2x^2 - 3x - 35 = 0$

Решим квадратное уравнение через дискриминант:

$D = b^2 - 4ac = (-3)^2 - 4 \cdot 2 \cdot (-35) = 9 + 280 = 289 = 17^2$

$x_{1,2} = \frac{-b \pm \sqrt{D}}{2a} = \frac{3 \pm 17}{4}$

$x_1 = \frac{3 - 17}{4} = \frac{-14}{4} = -\frac{7}{2}$

$x_2 = \frac{3 + 17}{4} = \frac{20}{4} = 5$

Оба корня удовлетворяют ОДЗ.

Ответ: $-\frac{7}{2}; 5$.

Помогло решение? Оставьте отзыв в комментариях ниже.

Присоединяйтесь к Телеграм-группе @top_gdz

Присоединиться

Мы подготовили для вас ответ c подробным объяснением домашего задания по алгебре за 8 класс, для упражнения номер 602 расположенного на странице 142 к учебнику 2019 - 2022 года издания для учащихся школ и гимназий.

Теперь на нашем сайте ГДЗ.ТОП вы всегда легко и бесплатно найдёте условие с правильным ответом на вопрос «Как решить ДЗ» и «Как сделать» задание по алгебре к упражнению №602 (с. 142), авторов: Макарычев (Юрий Николаевич), Миндюк (Нора Григорьевна), Нешков (Константин Иванович), Суворова (Светлана Борисовна), ФГОС (старый) учебного пособия издательства Просвещение.