Номер 606, страница 142 - гдз по алгебре 8 класс учебник Макарычев, Миндюк

Алгебра, 8 класс Учебник, авторы: Макарычев Юрий Николаевич, Миндюк Нора Григорьевна, Нешков Константин Иванович, Суворова Светлана Борисовна, издательство Просвещение, Москва, 2019 - 2022, белого цвета

Авторы: Макарычев Ю. Н., Миндюк Н. Г., Нешков К. И., Суворова С. Б.

Тип: Учебник

Издательство: Просвещение

Год издания: 2019 - 2022

Цвет обложки: белый, голубой, фиолетовый

ISBN: 978-5-09-087569-1

Допущено Министерством просвещения Российской Федерации

Популярные ГДЗ в 8 классе

Глава 3. Квадратные уравнения. Параграф 9. Дробные рациональные уравнения. 25. Решение дробных рациональных уравнений - номер 606, страница 142.

№606 (с. 142)
Условие. №606 (с. 142)
скриншот условия
Алгебра, 8 класс Учебник, авторы: Макарычев Юрий Николаевич, Миндюк Нора Григорьевна, Нешков Константин Иванович, Суворова Светлана Борисовна, издательство Просвещение, Москва, 2019 - 2022, белого цвета, страница 142, номер 606, Условие

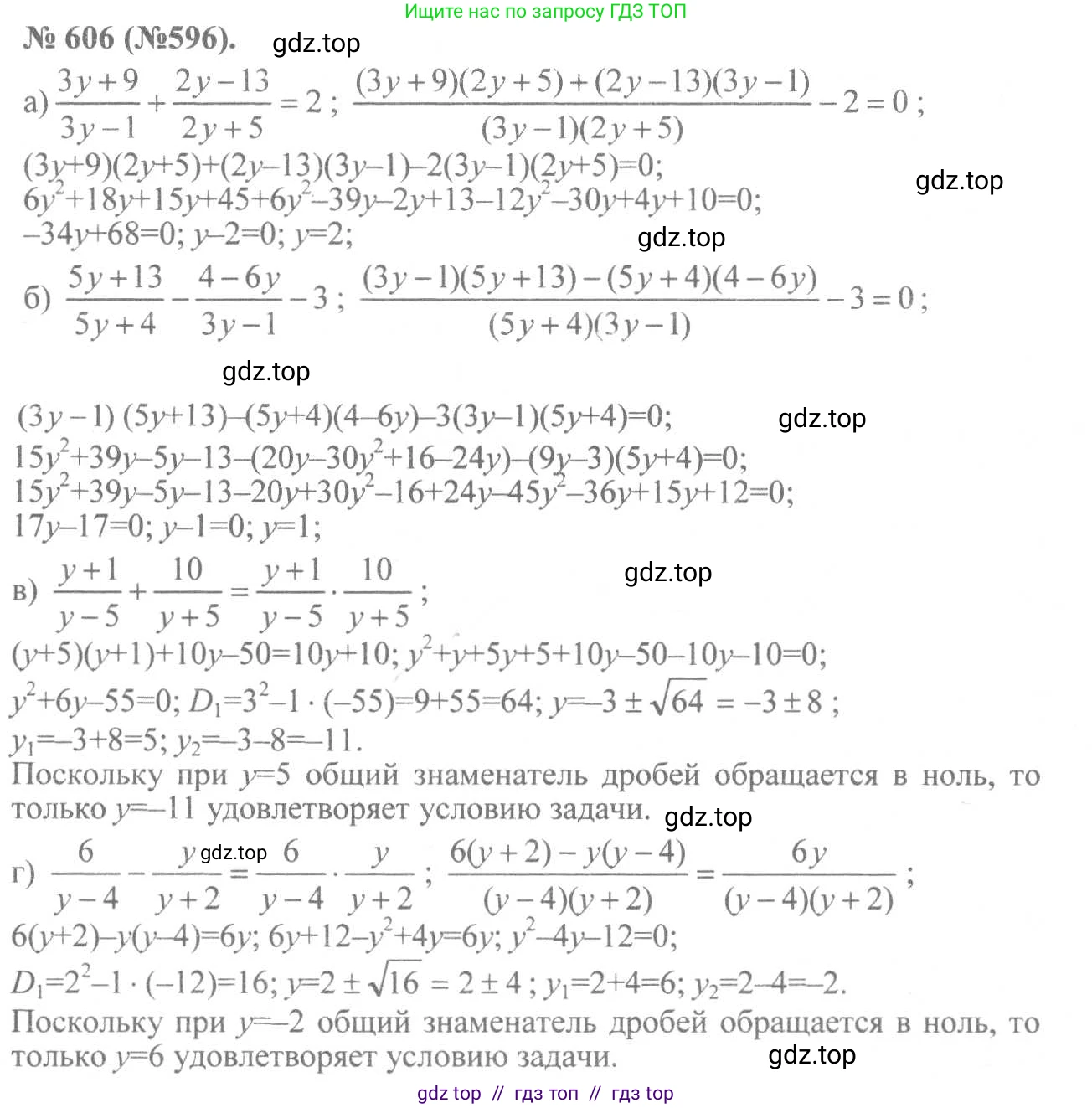
606. Найдите значение переменной $y$, при котором:

а) сумма дробей $\frac{3y+9}{3y-1}$ и $\frac{2y-13}{2y+5}$ равна 2;

б) разность дробей $\frac{5y+13}{5y+4}$ и $\frac{4-6y}{3y-1}$ равна 3;

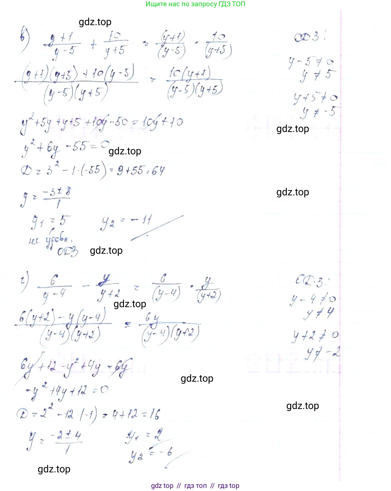
в) сумма дробей $\frac{y+1}{y-5}$ и $\frac{10}{y+5}$ равна их произведению;

г) разность дробей $\frac{6}{y-4}$ и $\frac{y}{y+2}$ равна их произведению.

Решение 1. №606 (с. 142)
Алгебра, 8 класс Учебник, авторы: Макарычев Юрий Николаевич, Миндюк Нора Григорьевна, Нешков Константин Иванович, Суворова Светлана Борисовна, издательство Просвещение, Москва, 2019 - 2022, белого цвета, страница 142, номер 606, Решение 1
Алгебра, 8 класс Учебник, авторы: Макарычев Юрий Николаевич, Миндюк Нора Григорьевна, Нешков Константин Иванович, Суворова Светлана Борисовна, издательство Просвещение, Москва, 2019 - 2022, белого цвета, страница 142, номер 606, Решение 1 (продолжение 2)
Решение 2. №606 (с. 142)
Алгебра, 8 класс Учебник, авторы: Макарычев Юрий Николаевич, Миндюк Нора Григорьевна, Нешков Константин Иванович, Суворова Светлана Борисовна, издательство Просвещение, Москва, 2019 - 2022, белого цвета, страница 142, номер 606, Решение 2
Алгебра, 8 класс Учебник, авторы: Макарычев Юрий Николаевич, Миндюк Нора Григорьевна, Нешков Константин Иванович, Суворова Светлана Борисовна, издательство Просвещение, Москва, 2019 - 2022, белого цвета, страница 142, номер 606, Решение 2 (продолжение 2)
Решение 3. №606 (с. 142)
Алгебра, 8 класс Учебник, авторы: Макарычев Юрий Николаевич, Миндюк Нора Григорьевна, Нешков Константин Иванович, Суворова Светлана Борисовна, издательство Просвещение, Москва, 2019 - 2022, белого цвета, страница 142, номер 606, Решение 3
Решение 4. №606 (с. 142)
Алгебра, 8 класс Учебник, авторы: Макарычев Юрий Николаевич, Миндюк Нора Григорьевна, Нешков Константин Иванович, Суворова Светлана Борисовна, издательство Просвещение, Москва, 2019 - 2022, белого цвета, страница 142, номер 606, Решение 4
Решение 5. №606 (с. 142)
Алгебра, 8 класс Учебник, авторы: Макарычев Юрий Николаевич, Миндюк Нора Григорьевна, Нешков Константин Иванович, Суворова Светлана Борисовна, издательство Просвещение, Москва, 2019 - 2022, белого цвета, страница 142, номер 606, Решение 5
Решение 6. №606 (с. 142)
Алгебра, 8 класс Учебник, авторы: Макарычев Юрий Николаевич, Миндюк Нора Григорьевна, Нешков Константин Иванович, Суворова Светлана Борисовна, издательство Просвещение, Москва, 2019 - 2022, белого цвета, страница 142, номер 606, Решение 6 Алгебра, 8 класс Учебник, авторы: Макарычев Юрий Николаевич, Миндюк Нора Григорьевна, Нешков Константин Иванович, Суворова Светлана Борисовна, издательство Просвещение, Москва, 2019 - 2022, белого цвета, страница 142, номер 606, Решение 6 (продолжение 2)
Решение 7. №606 (с. 142)
Алгебра, 8 класс Учебник, авторы: Макарычев Юрий Николаевич, Миндюк Нора Григорьевна, Нешков Константин Иванович, Суворова Светлана Борисовна, издательство Просвещение, Москва, 2019 - 2022, белого цвета, страница 142, номер 606, Решение 7
Решение 8. №606 (с. 142)

а) сумма дробей $\frac{3y+9}{3y-1}$ и $\frac{2y-13}{2y+5}$ равна 2;
Согласно условию, составим уравнение:
$\frac{3y+9}{3y-1} + \frac{2y-13}{2y+5} = 2$
Определим область допустимых значений (ОДЗ), при которых знаменатели не равны нулю:
$3y-1 \neq 0 \Rightarrow y \neq \frac{1}{3}$
$2y+5 \neq 0 \Rightarrow y \neq -\frac{5}{2}$
Чтобы решить уравнение, приведем дроби в левой части к общему знаменателю $(3y-1)(2y+5)$:
$\frac{(3y+9)(2y+5) + (2y-13)(3y-1)}{(3y-1)(2y+5)} = 2$
Умножим обе части уравнения на общий знаменатель, учитывая ОДЗ:
$(3y+9)(2y+5) + (2y-13)(3y-1) = 2(3y-1)(2y+5)$
Раскроем скобки в обеих частях уравнения:
$(6y^2 + 15y + 18y + 45) + (6y^2 - 2y - 39y + 13) = 2(6y^2 + 15y - 2y - 5)$
Приведем подобные слагаемые:
$(6y^2 + 33y + 45) + (6y^2 - 41y + 13) = 2(6y^2 + 13y - 5)$
$12y^2 - 8y + 58 = 12y^2 + 26y - 10$
Сократим $12y^2$ в обеих частях и перенесем слагаемые с $y$ в одну сторону, а константы в другую:
$58 + 10 = 26y + 8y$
$68 = 34y$
$y = \frac{68}{34}$
$y = 2$
Полученное значение $y=2$ входит в область допустимых значений.
Ответ: 2.

б) разность дробей $\frac{5y+13}{5y+4}$ и $\frac{4-6y}{3y-1}$ равна 3;
Составим уравнение на основе условия:
$\frac{5y+13}{5y+4} - \frac{4-6y}{3y-1} = 3$
ОДЗ: $5y+4 \neq 0 \Rightarrow y \neq -\frac{4}{5}$ и $3y-1 \neq 0 \Rightarrow y \neq \frac{1}{3}$.
Приведем дроби к общему знаменателю $(5y+4)(3y-1)$:
$\frac{(5y+13)(3y-1) - (4-6y)(5y+4)}{(5y+4)(3y-1)} = 3$
Избавимся от знаменателя, умножив на него обе части уравнения:
$(5y+13)(3y-1) - (4-6y)(5y+4) = 3(5y+4)(3y-1)$
Раскроем скобки:
$(15y^2 - 5y + 39y - 13) - (20y + 16 - 30y^2 - 24y) = 3(15y^2 - 5y + 12y - 4)$
Приведем подобные слагаемые:
$(15y^2 + 34y - 13) - (-30y^2 - 4y + 16) = 3(15y^2 + 7y - 4)$
$15y^2 + 34y - 13 + 30y^2 + 4y - 16 = 45y^2 + 21y - 12$
$45y^2 + 38y - 29 = 45y^2 + 21y - 12$
Сократим $45y^2$ и решим линейное уравнение:
$38y - 21y = -12 + 29$
$17y = 17$
$y = 1$
Значение $y=1$ удовлетворяет ОДЗ.
Ответ: 1.

в) сумма дробей $\frac{y+1}{y-5}$ и $\frac{10}{y+5}$ равна их произведению;
Запишем уравнение в соответствии с условием:
$\frac{y+1}{y-5} + \frac{10}{y+5} = \frac{y+1}{y-5} \cdot \frac{10}{y+5}$
ОДЗ: $y-5 \neq 0 \Rightarrow y \neq 5$ и $y+5 \neq 0 \Rightarrow y \neq -5$.
Упростим правую часть и приведем левую к общему знаменателю $(y-5)(y+5)$:
$\frac{(y+1)(y+5) + 10(y-5)}{(y-5)(y+5)} = \frac{10(y+1)}{(y-5)(y+5)}$
Поскольку знаменатели равны и не равны нулю (согласно ОДЗ), мы можем приравнять числители:
$(y+1)(y+5) + 10(y-5) = 10(y+1)$
Раскроем скобки и упростим:
$(y^2 + 5y + y + 5) + 10y - 50 = 10y + 10$
$y^2 + 6y + 5 + 10y - 50 = 10y + 10$
$y^2 + 16y - 45 = 10y + 10$
Приведем уравнение к стандартному квадратному виду $ay^2+by+c=0$:
$y^2 + 16y - 10y - 45 - 10 = 0$
$y^2 + 6y - 55 = 0$
Решим квадратное уравнение с помощью теоремы Виета. Ищем два числа, сумма которых равна -6, а произведение -55. Это числа -11 и 5.
$y_1 = -11$, $y_2 = 5$.
Проверим корни по ОДЗ. Корень $y_2 = 5$ является посторонним, так как при этом значении знаменатель $y-5$ обращается в ноль. Корень $y_1 = -11$ удовлетворяет ОДЗ.
Ответ: -11.

г) разность дробей $\frac{6}{y-4}$ и $\frac{y}{y+2}$ равна их произведению.
Составим уравнение:
$\frac{6}{y-4} - \frac{y}{y+2} = \frac{6}{y-4} \cdot \frac{y}{y+2}$
ОДЗ: $y-4 \neq 0 \Rightarrow y \neq 4$ и $y+2 \neq 0 \Rightarrow y \neq -2$.
Приведем левую часть к общему знаменателю $(y-4)(y+2)$ и упростим правую:
$\frac{6(y+2) - y(y-4)}{(y-4)(y+2)} = \frac{6y}{(y-4)(y+2)}$
Приравняем числители, так как знаменатели одинаковы и не равны нулю в ОДЗ:
$6(y+2) - y(y-4) = 6y$
Раскроем скобки:
$6y + 12 - y^2 + 4y = 6y$
$-y^2 + 10y + 12 = 6y$
Перенесем все слагаемые в одну сторону:
$-y^2 + 10y - 6y + 12 = 0$
$-y^2 + 4y + 12 = 0$
Умножим уравнение на -1 для удобства:
$y^2 - 4y - 12 = 0$
Решим квадратное уравнение по теореме Виета. Сумма корней равна 4, произведение равно -12. Корни: 6 и -2.
$y_1 = 6$, $y_2 = -2$.
Сверим корни с ОДЗ. Корень $y_2 = -2$ является посторонним, так как знаменатель $y+2$ при этом значении равен нулю. Корень $y_1 = 6$ удовлетворяет ОДЗ.
Ответ: 6.

Помогло решение? Оставьте отзыв в комментариях ниже.

Присоединяйтесь к Телеграм-группе @top_gdz

Присоединиться

Мы подготовили для вас ответ c подробным объяснением домашего задания по алгебре за 8 класс, для упражнения номер 606 расположенного на странице 142 к учебнику 2019 - 2022 года издания для учащихся школ и гимназий.

Теперь на нашем сайте ГДЗ.ТОП вы всегда легко и бесплатно найдёте условие с правильным ответом на вопрос «Как решить ДЗ» и «Как сделать» задание по алгебре к упражнению №606 (с. 142), авторов: Макарычев (Юрий Николаевич), Миндюк (Нора Григорьевна), Нешков (Константин Иванович), Суворова (Светлана Борисовна), ФГОС (старый) учебного пособия издательства Просвещение.