Номер 605, страница 142 - гдз по алгебре 8 класс учебник Макарычев, Миндюк

Алгебра, 8 класс Учебник, авторы: Макарычев Юрий Николаевич, Миндюк Нора Григорьевна, Нешков Константин Иванович, Суворова Светлана Борисовна, издательство Просвещение, Москва, 2019 - 2022, белого цвета

Авторы: Макарычев Ю. Н., Миндюк Н. Г., Нешков К. И., Суворова С. Б.

Тип: Учебник

Издательство: Просвещение

Год издания: 2019 - 2022

Цвет обложки: белый, голубой, фиолетовый

ISBN: 978-5-09-087569-1

Допущено Министерством просвещения Российской Федерации

Популярные ГДЗ в 8 классе

Глава 3. Квадратные уравнения. Параграф 9. Дробные рациональные уравнения. 25. Решение дробных рациональных уравнений - номер 605, страница 142.

№605 (с. 142)
Условие. №605 (с. 142)
скриншот условия
Алгебра, 8 класс Учебник, авторы: Макарычев Юрий Николаевич, Миндюк Нора Григорьевна, Нешков Константин Иванович, Суворова Светлана Борисовна, издательство Просвещение, Москва, 2019 - 2022, белого цвета, страница 142, номер 605, Условие

605. Найдите корни уравнения:

а) $\frac{x-4}{x-5} + \frac{x-6}{x+5} = 2;$

б) $\frac{1}{2-x} - 1 = \frac{1}{x-2} - \frac{6-x}{3x^2-12};$

в) $\frac{7y-3}{y-y^2} = \frac{1}{y-1} - \frac{5}{y(y-1)};$

г) $\frac{3}{y-2} + \frac{7}{y+2} = \frac{10}{y};$

д) $\frac{x+3}{x-3} + \frac{x-3}{x+3} = 3\frac{1}{3};$

е) $\frac{5x+7}{x-2} - \frac{2x+21}{x+2} = 8\frac{2}{3}.$

Решение 1. №605 (с. 142)
Алгебра, 8 класс Учебник, авторы: Макарычев Юрий Николаевич, Миндюк Нора Григорьевна, Нешков Константин Иванович, Суворова Светлана Борисовна, издательство Просвещение, Москва, 2019 - 2022, белого цвета, страница 142, номер 605, Решение 1
Алгебра, 8 класс Учебник, авторы: Макарычев Юрий Николаевич, Миндюк Нора Григорьевна, Нешков Константин Иванович, Суворова Светлана Борисовна, издательство Просвещение, Москва, 2019 - 2022, белого цвета, страница 142, номер 605, Решение 1 (продолжение 2)
Решение 2. №605 (с. 142)
Алгебра, 8 класс Учебник, авторы: Макарычев Юрий Николаевич, Миндюк Нора Григорьевна, Нешков Константин Иванович, Суворова Светлана Борисовна, издательство Просвещение, Москва, 2019 - 2022, белого цвета, страница 142, номер 605, Решение 2
Алгебра, 8 класс Учебник, авторы: Макарычев Юрий Николаевич, Миндюк Нора Григорьевна, Нешков Константин Иванович, Суворова Светлана Борисовна, издательство Просвещение, Москва, 2019 - 2022, белого цвета, страница 142, номер 605, Решение 2 (продолжение 2)
Решение 3. №605 (с. 142)
Алгебра, 8 класс Учебник, авторы: Макарычев Юрий Николаевич, Миндюк Нора Григорьевна, Нешков Константин Иванович, Суворова Светлана Борисовна, издательство Просвещение, Москва, 2019 - 2022, белого цвета, страница 142, номер 605, Решение 3
Решение 4. №605 (с. 142)
Алгебра, 8 класс Учебник, авторы: Макарычев Юрий Николаевич, Миндюк Нора Григорьевна, Нешков Константин Иванович, Суворова Светлана Борисовна, издательство Просвещение, Москва, 2019 - 2022, белого цвета, страница 142, номер 605, Решение 4
Решение 5. №605 (с. 142)
Алгебра, 8 класс Учебник, авторы: Макарычев Юрий Николаевич, Миндюк Нора Григорьевна, Нешков Константин Иванович, Суворова Светлана Борисовна, издательство Просвещение, Москва, 2019 - 2022, белого цвета, страница 142, номер 605, Решение 5
Решение 6. №605 (с. 142)
Алгебра, 8 класс Учебник, авторы: Макарычев Юрий Николаевич, Миндюк Нора Григорьевна, Нешков Константин Иванович, Суворова Светлана Борисовна, издательство Просвещение, Москва, 2019 - 2022, белого цвета, страница 142, номер 605, Решение 6 Алгебра, 8 класс Учебник, авторы: Макарычев Юрий Николаевич, Миндюк Нора Григорьевна, Нешков Константин Иванович, Суворова Светлана Борисовна, издательство Просвещение, Москва, 2019 - 2022, белого цвета, страница 142, номер 605, Решение 6 (продолжение 2)
Решение 7. №605 (с. 142)
Алгебра, 8 класс Учебник, авторы: Макарычев Юрий Николаевич, Миндюк Нора Григорьевна, Нешков Константин Иванович, Суворова Светлана Борисовна, издательство Просвещение, Москва, 2019 - 2022, белого цвета, страница 142, номер 605, Решение 7
Решение 8. №605 (с. 142)

а) $\frac{x-4}{x-5} + \frac{x-6}{x+5} = 2$

Область допустимых значений (ОДЗ): знаменатели не должны быть равны нулю, поэтому $x-5 \neq 0$ и $x+5 \neq 0$. Отсюда $x \neq 5$ и $x \neq -5$.

Приведем дроби к общему знаменателю $(x-5)(x+5)$:

$\frac{(x-4)(x+5)}{(x-5)(x+5)} + \frac{(x-6)(x-5)}{(x-5)(x+5)} = 2$

Умножим обе части уравнения на $(x-5)(x+5)$, чтобы избавиться от знаменателя:

$(x-4)(x+5) + (x-6)(x-5) = 2(x-5)(x+5)$

Раскроем скобки:

$(x^2 + 5x - 4x - 20) + (x^2 - 5x - 6x + 30) = 2(x^2 - 25)$

Приведем подобные слагаемые:

$x^2 + x - 20 + x^2 - 11x + 30 = 2x^2 - 50$

$2x^2 - 10x + 10 = 2x^2 - 50$

Перенесем члены с $x^2$ в одну сторону, а остальные в другую:

$-10x = -50 - 10$

$-10x = -60$

$x = 6$

Корень $x=6$ удовлетворяет ОДЗ ($6 \neq 5$ и $6 \neq -5$).

Ответ: $6$.

б) $\frac{1}{2-x} - 1 = \frac{1}{x-2} - \frac{6-x}{3x^2-12}$

Преобразуем уравнение. Заметим, что $2-x = -(x-2)$ и $3x^2-12 = 3(x^2-4) = 3(x-2)(x+2)$.

ОДЗ: $x \neq 2$ и $x \neq -2$.

Перепишем уравнение:

$-\frac{1}{x-2} - 1 = \frac{1}{x-2} - \frac{6-x}{3(x-2)(x+2)}$

Перенесем все члены в правую часть:

$0 = \frac{1}{x-2} + \frac{1}{x-2} + 1 - \frac{6-x}{3(x-2)(x+2)}$

$0 = \frac{2}{x-2} + 1 - \frac{6-x}{3(x-2)(x+2)}$

Общий знаменатель $3(x-2)(x+2)$. Умножим на него обе части:

$0 = 2 \cdot 3(x+2) + 1 \cdot 3(x-2)(x+2) - (6-x)$

$0 = 6(x+2) + 3(x^2-4) - 6 + x$

$0 = 6x + 12 + 3x^2 - 12 - 6 + x$

$3x^2 + 7x - 6 = 0$

Решим квадратное уравнение. Дискриминант $D = b^2 - 4ac = 7^2 - 4(3)(-6) = 49 + 72 = 121 = 11^2$.

$x_1 = \frac{-7 + 11}{2 \cdot 3} = \frac{4}{6} = \frac{2}{3}$

$x_2 = \frac{-7 - 11}{2 \cdot 3} = \frac{-18}{6} = -3$

Оба корня удовлетворяют ОДЗ.

Ответ: $\frac{2}{3}; -3$.

в) $\frac{7y-3}{y-y^2} = \frac{1}{y-1} - \frac{5}{y(y-1)}$

Преобразуем знаменатель $y-y^2 = y(1-y) = -y(y-1)$.

ОДЗ: $y \neq 0$ и $y \neq 1$.

Уравнение принимает вид:

$\frac{7y-3}{-y(y-1)} = \frac{1}{y-1} - \frac{5}{y(y-1)}$

$-\frac{7y-3}{y(y-1)} = \frac{1}{y-1} - \frac{5}{y(y-1)}$

Умножим обе части на общий знаменатель $y(y-1)$:

$-(7y-3) = 1 \cdot y - 5$

$-7y + 3 = y - 5$

$3 + 5 = y + 7y$

$8 = 8y$

$y=1$

Однако, значение $y=1$ не входит в ОДЗ, так как при $y=1$ знаменатели обращаются в ноль. Следовательно, уравнение не имеет корней.

Ответ: корней нет.

г) $\frac{3}{y-2} + \frac{7}{y+2} = \frac{10}{y}$

ОДЗ: $y \neq 2$, $y \neq -2$, $y \neq 0$.

Общий знаменатель $y(y-2)(y+2)$. Умножим обе части на него:

$3y(y+2) + 7y(y-2) = 10(y-2)(y+2)$

Раскроем скобки:

$3y^2 + 6y + 7y^2 - 14y = 10(y^2-4)$

$10y^2 - 8y = 10y^2 - 40$

$-8y = -40$

$y=5$

Корень $y=5$ удовлетворяет ОДЗ.

Ответ: $5$.

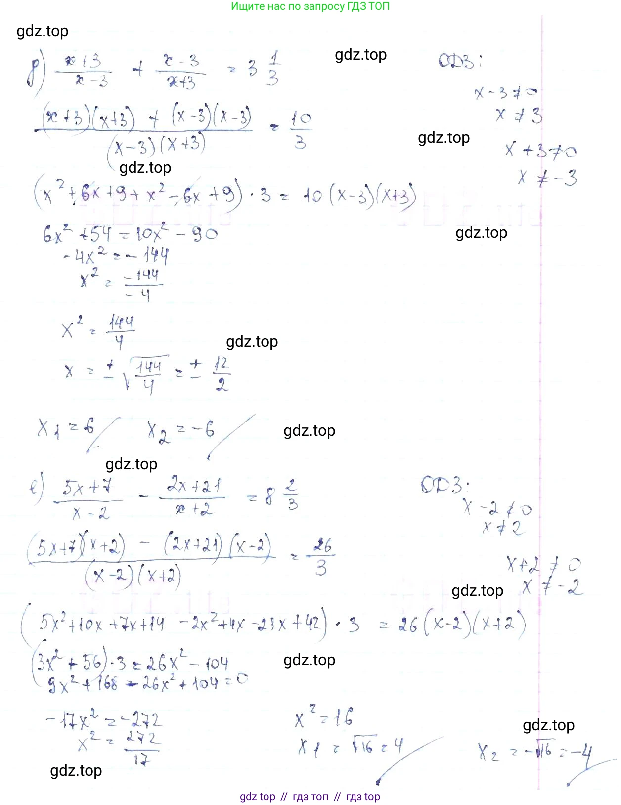
д) $\frac{x+3}{x-3} + \frac{x-3}{x+3} = 3\frac{1}{3}$

ОДЗ: $x \neq 3$, $x \neq -3$.

Заметим, что дроби в левой части взаимно обратные. Сделаем замену: пусть $t = \frac{x+3}{x-3}$. Тогда $\frac{x-3}{x+3} = \frac{1}{t}$. Правая часть $3\frac{1}{3} = \frac{10}{3}$.

Уравнение принимает вид: $t + \frac{1}{t} = \frac{10}{3}$.

Умножим на $3t$ (при $t \neq 0$):

$3t^2 + 3 = 10t$

$3t^2 - 10t + 3 = 0$

Решим квадратное уравнение. $D = (-10)^2 - 4(3)(3) = 100 - 36 = 64 = 8^2$.

$t_1 = \frac{10+8}{6} = 3$

$t_2 = \frac{10-8}{6} = \frac{2}{6} = \frac{1}{3}$

Вернемся к исходной переменной:

1) $\frac{x+3}{x-3} = 3 \implies x+3 = 3(x-3) \implies x+3 = 3x-9 \implies 12 = 2x \implies x=6$.

2) $\frac{x+3}{x-3} = \frac{1}{3} \implies 3(x+3) = x-3 \implies 3x+9 = x-3 \implies 2x = -12 \implies x=-6$.

Оба корня $x=6$ и $x=-6$ удовлетворяют ОДЗ.

Ответ: $6; -6$.

е) $\frac{5x+7}{x-2} - \frac{2x+21}{x+2} = 8\frac{2}{3}$

ОДЗ: $x \neq 2$, $x \neq -2$.

Перепишем правую часть: $8\frac{2}{3} = \frac{26}{3}$. Общий знаменатель $3(x-2)(x+2)$.

Умножим обе части на общий знаменатель:

$3(5x+7)(x+2) - 3(2x+21)(x-2) = 26(x-2)(x+2)$

Раскроем скобки:

$3(5x^2 + 10x + 7x + 14) - 3(2x^2 - 4x + 21x - 42) = 26(x^2 - 4)$

$3(5x^2 + 17x + 14) - 3(2x^2 + 17x - 42) = 26x^2 - 104$

$15x^2 + 51x + 42 - 6x^2 - 51x + 126 = 26x^2 - 104$

Приведем подобные слагаемые:

$9x^2 + 168 = 26x^2 - 104$

$168 + 104 = 26x^2 - 9x^2$

$272 = 17x^2$

$x^2 = \frac{272}{17}$

$x^2 = 16$

$x = \pm 4$

Оба корня $x=4$ и $x=-4$ удовлетворяют ОДЗ.

Ответ: $4; -4$.

Помогло решение? Оставьте отзыв в комментариях ниже.

Присоединяйтесь к Телеграм-группе @top_gdz

Присоединиться

Мы подготовили для вас ответ c подробным объяснением домашего задания по алгебре за 8 класс, для упражнения номер 605 расположенного на странице 142 к учебнику 2019 - 2022 года издания для учащихся школ и гимназий.

Теперь на нашем сайте ГДЗ.ТОП вы всегда легко и бесплатно найдёте условие с правильным ответом на вопрос «Как решить ДЗ» и «Как сделать» задание по алгебре к упражнению №605 (с. 142), авторов: Макарычев (Юрий Николаевич), Миндюк (Нора Григорьевна), Нешков (Константин Иванович), Суворова (Светлана Борисовна), ФГОС (старый) учебного пособия издательства Просвещение.